10 svar
958 visningar
ErikWe00 behöver inte mer hjälp
ErikWe00 55 – Fd. Medlem
Postad: 30 nov 2020 12:58

Härleda formler för de broglie-våglängd

Hej! Har följande uppgift:

 

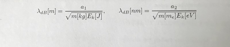
Härled två formler för hur de broglie-våglängden beror av den kinetiska energin Ek för en partikel med massan m. I den första formeln ska man kunna ange massan i kg och energin i J och få ut våglängden i m. I den andra formeln ska man istället kunna använda me och eV och få ut våglängden i nm. (me är elementarmassan för en elektron). Dessa formler kan uttryckas som (se bild): 

bestäm storlek och enhet på konstanterna a1 och a2.

Jag har kommit fram till att våglängden= h/sqrt(2Ek • m) men sen vet jag inte hur jag ska fortsätta, och särskilt undrar jag hur man ska få ut enheterna för båda ekvationerna 

PeterG 318
Postad: 30 nov 2020 16:01

Din relation för våglängden är rätt. Använder du SI enheter - kg samt J i höger led får du meter (m) i vänster led automatiskt förutsatt att h också uttrycks i SI enhet. 

Den andra konstanten får du fram genom att konstatera att vänstra ekvationen är lika med högra ekvationen x 10-9 och sedan sätta in omvandlingsfaktorerna  mellan kg och me samt J och eV i någon av ekvationerna. 

JockeR 67
Postad: 30 nov 2020 16:07

För att få fram enheten på konstanten skulle jag kvadrera båda leden först, för att få bort roten ur, och skriva ekvationen med endast enheterna insatta,

Sedan kan enheten "J" skrivas som ett uttryck av grundenheterna kg, m och s.
Därifrån kanske du kommer vidare?

ErikWe00 55 – Fd. Medlem
Postad: 30 nov 2020 19:24
PeterG skrev:

Din relation för våglängden är rätt. Använder du SI enheter - kg samt J i höger led får du meter (m) i vänster led automatiskt förutsatt att h också uttrycks i SI enhet. 

Den andra konstanten får du fram genom att konstatera att vänstra ekvationen är lika med högra ekvationen x 10-9 och sedan sätta in omvandlingsfaktorerna  mellan kg och me samt J och eV i någon av ekvationerna. 

Såhär långt kom jag: 

 Jag måste vara helt ute och cyklar på den andra ekvationen. Hur ska jag tänka? Och är det rätt att jag i den första ekvationen lägger till de enheter jag behöver i täljaren så att jag kan få svaret i enheten m i högerledet? 

ErikWe00 55 – Fd. Medlem
Postad: 30 nov 2020 19:37
JockeR skrev:

För att få fram enheten på konstanten skulle jag kvadrera båda leden först, för att få bort roten ur, och skriva ekvationen med endast enheterna insatta,

Sedan kan enheten "J" skrivas som ett uttryck av grundenheterna kg, m och s.
Därifrån kanske du kommer vidare?

Såhär långt kom jag. Jag måste vara helt ute och cyklar på den andra ekvationen. Hur ska jag tänka? Och är det rätt att jag i den första ekvationen lägger till de enheter jag behöver i täljaren så att jag kan få svaret i enheten m i högerledet? 

PeterG 318
Postad: 30 nov 2020 20:43

Ja du är på rätt väg.

Sätt samman de två uttrycken (SI resp me och eV) som jag nämnde från början. Det skiljer bara med

10-9

Har lite svårt att skriva index under rottecken (jag menar me = m(e)  Ek= E)

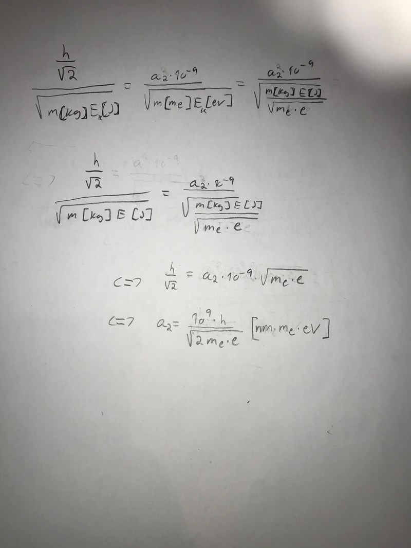
h/2/m(kg)E(J)=a2. 10-9/m(m(e))E(eV)= a2. 10-9/m(kg)E(J)m(e) e

nu kan du förkorta första vänster led med sista högerled - bort med m(kg) och E(J) så får du ett uttryck där a2 uttrycks i h samt moch e.

Är du med?

ErikWe00 55 – Fd. Medlem
Postad: 30 nov 2020 21:27
PeterG skrev:

Ja du är på rätt väg.

Sätt samman de två uttrycken (SI resp me och eV) som jag nämnde från början. Det skiljer bara med

10-9

Har lite svårt att skriva index under rottecken (jag menar me = m(e)  Ek= E)

h/2/m(kg)E(J)=a2. 10-9/m(m(e))E(eV)= a2. 10-9/m(kg)E(J)m(e) e

nu kan du förkorta första vänster led med sista högerled - bort med m(kg) och E(J) så får du ett uttryck där a2 uttrycks i h samt moch e.

Är du med?

Hmm ok! Så jag fick rätt på första ekvationen? 
Fick detta på ekvation 2: Tror det dock blir fel med faktorn 10^9. Jag anger ju i enheten att det är nm så då kan man väl skippa a2*10^-9 i de första ekvationerna och bara ha a2 i täljaren? 

PeterG 318
Postad: 30 nov 2020 21:53

Ja första ekv. var rätt.

Och ditt uttryck för a2 är också rätt nu om du använder SI enheter för h, me och e.

Enheten för aär då  nmm(e)eV

För att få en relation mellan de två ekv. måste faktorn 10-9 in från början.

PeterG 318
Postad: 30 nov 2020 22:56

Sen för att göra uppgiften klar så sätt in värdena på h, me och e i SI enheter för att få storlek på a2 och förvissa dig om enheten.

PeterG 318
Postad: 30 nov 2020 23:00

Ser nu också att din enhet för a1 inte var rätt. Det är ju mkg J

SaintVenant 3999
Postad: 1 dec 2020 01:34 Redigerad: 1 dec 2020 02:59

Du har gjort helt rätt bortsett från enheten på a2a_2. Kom ihåg att den måste innehålla eV\sqrt{eV}. Antal elektroner är ett enhetslöst tal och ska inte skrivas ut då det har enheten [mme]=1[m\left[m_e]\right] =1

Härledning

Du har att:

m[kg]m[me]=me\dfrac{m[kg]}{m[m_e]}=m_e

Ek[J]Ek[eV]=e\dfrac{E_k [J]}{E_k [eV]}=e

Du ska omforma dessa så att de kan användas i din relation enligt nedan:

a1m[kg]Ek[J]=a1(m[me]me)(Ek[eV]e)\dfrac{a_{1}}{\sqrt{m[kg] E_{k} [J]}}=\dfrac{a_1}{\sqrt{(m[m_e] m_e) (E_{k} [eV] e)}}

Detta ger alltså:

[a1mee]=JskgC=JeVkgs[\dfrac{a_{1}}{\sqrt{m_e e}}] =\dfrac{Js}{\sqrt{kgC}}=\sqrt{\dfrac{JeV}{kg}}s

Sedan ser du enkelt att:

m=Jkgsm = \sqrt{\dfrac{J}{kg}}s och 109 nm=m10^9 \ nm = m

Så du får:

a2=109·a1mee  nmeVa_{2} =10^{9} \cdot \dfrac{a_{1}}{\sqrt{m_e e}} \ \ \left[nm\sqrt{eV}\right]

Svara
Close