Härledning av kemisk ekvation
Hej!
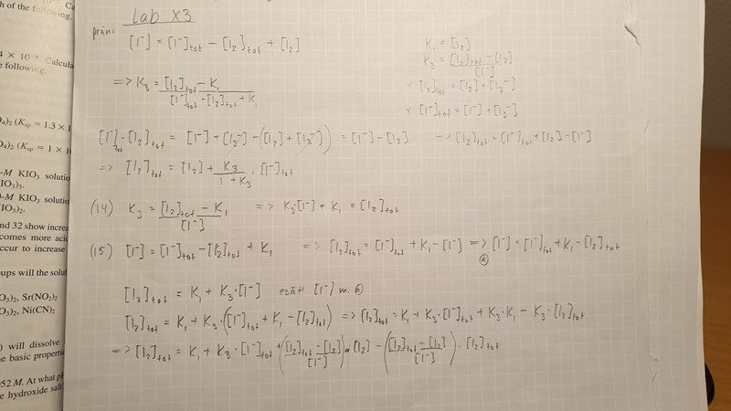
Jag har i uppgift att i en laborationsrapport härleda en kemisk ekvation (nr 16 på bilden) från nr 15, med hjälp av nr 9 och 14.
Varken jag eller mina labbkamrater lyckas lösa det. Bifogar bild på två försök att lösa det. Det är nog egentligen främst divisionen som jag inte förstår hur jag ska få till.
Hoppas någon kan ge mig vägledning :)



Puh, det var inte helt lätt!
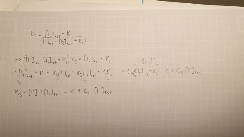
Börja med att konstatera att i det slutliga uttrycket finns inte [I-] kvar. Lös ut [I-] ur ekvation 14 får man .
Om man sätter in detta i ekvation 15 och samtidigt byter ut [I2] mol K1 enligt ekvation 9 får man .
Sortera så att vi har alla termer med [I2]tot i VL så får vi och då är man nästan klar.
Tack för svar. Ska titta på det imorgon när jag är lite piggare i huvudet. Så återkommer jag om jag inte förstår. Tack för hjälpen 😊👍