Härledning av kraft i en mekanisk våg
Till härledningen nedan har jag två frågor.
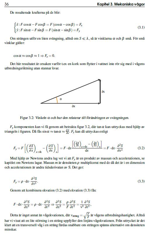
Första frågan gäller formeln för Fy (ekvation (3.2)). Känns lite oklart hur vi i den näst sista likheten har en förstaderivata i täljaren och i nästa likheten en andraderivata. Ska man helt enkelt tänka att man multiplicerar nämnaren med dx och därför får vi en andraderivata
Andra frågan är hur vi får fram formeln (3.3), mer specifikt hur försvinner. Jag har försökt förenkla formel (3.2) för att komma fram och har kommit såpass:
,
tror det är lite samma problem som jag hade i första frågan, vet inte hur jag ska hantera (dx)2 och


Cien skrev:Andra frågan är hur vi får fram formeln (3.3), mer specifikt hur försvinner.
Formel 3.3 är bara F = ma.
Pieter Kuiper skrev:Cien skrev:Andra frågan är hur vi får fram formeln (3.3), mer specifikt hur försvinner.
Formel 3.3 är bara F = ma.
Inte svårare än så. Tack!
Den här härledningen av ekvationen för transversella vågor på en sträng är starkt beroende på approximationer. Men det är roligt att de egentligen inte behövs. Dessa vågor utbreder sig på strängen även när utslaget är stort, och till och med när utslaget inte är en funktion av x.
Det finns en härledning av P G Tait: https://archive.org/details/encyclopediabrit15newyrich/page/740/mode/2up?view=theater