5
svar
88
visningar
Härledning av partiell integration från produkt regeln
Hej,
Jag undrar hur man kan härleda formeln för partiell integration genom produkt-regeln

Bode jag integrera båda funktionerna var för sig ?
Dvs
Kan du skriva upp den formel du vill bevisa?
Utan x:
(fg)´ = f´g + fg´
Det gäller (fg)´ = f´g + fg´
Flytta över till
f´g = (fg)´ -fg´ och gör en formell integration och se vad resultatet blir
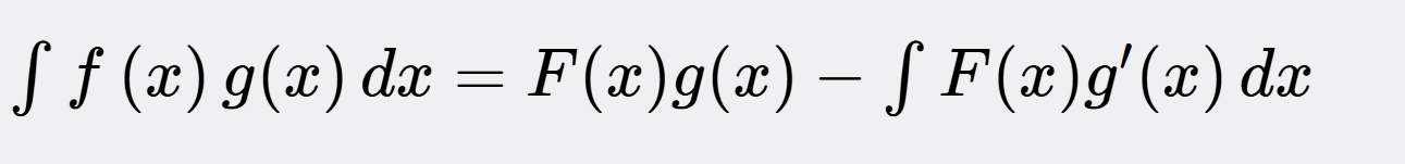
Tomten skrev:Kan du skriva upp den formel du vill bevisa?
Här är den.
