3
svar
160
visningar
Albin.k behöver inte mer hjälp
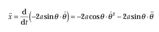
Härledning av uttryck för acceleration med derivering
Jag har suttit och grunnat på den här en stund nu men jag får inte ihop det. Vad händer mellan VL och HL? vart kommer den andra termen ifrån?
Som jag gjort det med kedjeregeln får jag:
Det är en produkt så man får använda produktregeln.
Där ser man, aldrig sett den regeln förut. Tack!
Då blir det alltså snarare: