5
svar
117
visningar
SiriJansson behöver inte mer hjälp
Härledning fakultit
Hej.
Jag undrar lite över denna härledning.
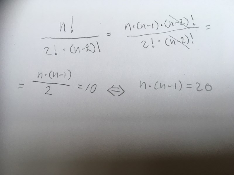
n! / (2! * (n-2)!) = 10. Detta härleds till n * (n - 1) = 20. Ingen aning hur denna härledning gick till. Någon som vill hjälpa?
2! = 1 * 2
n! = n * (n-1) * (n-2)!
Vi vet att n!=n*(n-1)!=n*(n-1)(n-2)!
och att 2!=2
Kommer du vidare därifrån?
2!=0 så multiplicera båda sidorna med två
är du med på att
annars kolla på typ matteboken eller nåt. Iallafall alltså
Kallaskull skrev:2!=0 så multiplicera båda sidorna med två
Nej, 2!=2
