Harmonisk svängning
Hej. Behöver hjälp med frågan nedan om någon kan tänka sig att ge lite support?
Uppgift
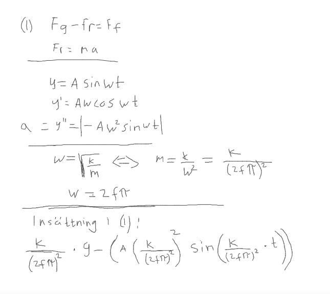
Eget försök i a)

Min fråga
Det som rör till det för mig är den sökta fjäderkraften är 4,1 cm från 0 läget. Hur anpassar jag mina uträkningar till detta?
Följ tipset i uppgiften och börja med att rita en figur.
Har specificerat min fråga nu i bilden nedan med röd markering:

För att y=Asin(wt)
Jomen det ser jag ju nu!
Tack för snabbt svar Smaragdalena, trevlig helg på dig!
Förresten.. Jag ser att det i formelsamling står y=Asin(wt+p), där p= en konstant vinkel. I mina uträkningar hade jag inte med något "p"? När och hur används p?
nyfikenpåattveta skrev:Förresten.. Jag ser att det i formelsamling står y=Asin(wt+p), där p= en konstant vinkel. I mina uträkningar hade jag inte med något "p"? När och hur används p?
Om man av någon anledning vill att viktens läge och hastighet skall vara något annat än "vid jämviktsläget" och "på väg uppåt" så kan man sätta in något lämpligt värde på p.