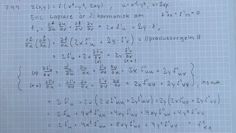
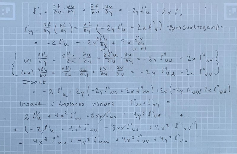
Harmoniska funktioner BEVIS
Jag har följande uppgift :
Visa att funktionen är harmonisk om f är harmonisk.
Jag har påbörjat min lösning genom att försöka visa att f är harmonisk med Laplace's ekvation :


Men har kört fast i steget längst ner på bild 2. Tidigare uppgifter har samtliga termer tagit ut varandra och direkt visat på att Laplaces ekvation uppfylls. Hur kan jag tolka detta? Jag jag tänkt fel? Räknat fel? Finns det möjligen andra sätt att visa att f är harmonisk?
Tacksam för alla tips och svar!
Jag är verkligen ingen expert på det här, men det känns inte som att du har använt att f var harmonisk från början? Skulle man då kunna anta att f_uu+f_vv=0, eftersom u och v står på x och ys plats i början? Isf går det bryta ut fint i slutet.
Annars borde man kunna dra slutsatsen att den är harmonisk från att u och v är real och imaginärdel till z^2. Vet inte vilken kurs du läser så nu kanske jag är inne på helt fel ämne. Jag vet inte heller riktigt hur man skulle motivera en sån lösning.
Ja hmm jo det kanske man skulle kunna göra.
Läser kursen flervariabelanalys!