2
svar
66
visningar
Eli123be behöver inte mer hjälp
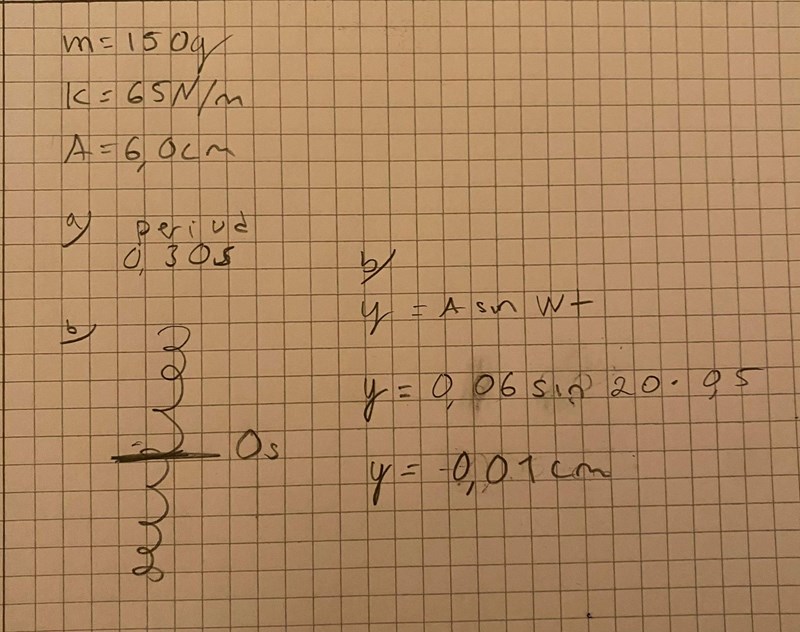
harmoniska svängningar vikt i fjäder
Hej!
Jag har fastnat på följande, vet inte om jag gjort rätt på båda deluppgifterna ( då jag hittade problemet på nätet vore tacksam för hjälp!


Det saknas en parentes, så du slår in fel på räknaren.
Skriv ut varifrån du får dina värden (0.30 s, 20, ...).
Tack så mycket då förstår jag :)!