Hastighet!
Behöver hjälp med denna:
"Den franske friiidrottaren Jean Bouin satte 1911 ett världsrekord på distansen 10 000 meter. Medelhastigheten under loppet var 19,37 km/h
Bestäm rekordtiden. Avrunda ditt svar till hela sekunder."
Tid = Sträcka / medelhastighet = 10 [km] / 19,37 [km/h] = 0,516... h
Multiplicera med 3600 för att omvandla till sekunder
Svar: 1859 s
alli98 skrev:Tid = Sträcka / medelhastighet = 10 [km] / 19,37 [km/h] = 0,516... h
Multiplicera med 3600 för att omvandla till sekunder
Svar: 1859 s
Ok tack, men alltså hur fick du fram formeln för tid?
Medelhastighet är definierat som sträcka / tid. Det kan man också se i enheten, km/h är en sträcka [km] delat med en tid [h]. Samma sak gäller för m/s. Det kan man skriva om enligt reglerna för vanlig ekvationslösning:
v = s / t
vt = s
t = s / v
tid är alltså sträcka / medelhastighet. Man kan också se att sträcka = medelhastighet * tid.
alli98 skrev:
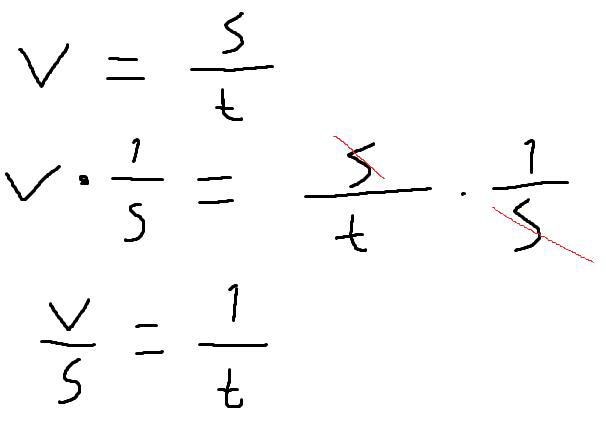
Tack för svar! Hoppas du kan svara på detta också eftersom ekvationslösning inte varit min starkaste sida: Jag försökte lösa ut tiden i "v = s/t" genom att dela båda sidorna med s, men fick svaret v/s = t. Hur gjorde du?
Om man delar med s (samma som att multiplicera med 1 / s) på båda sidor i v = s / t får man v / s = 1 / t.

Om man istället gör det i två steg, först genom att multiplicera med t på båda sidor och sen genom att dela med v på båda sidor får man ut t. Det är samma tankegång som jag hade i mitt förra svar.