2
svar
283
visningar
01nicole1 behöver inte mer hjälp
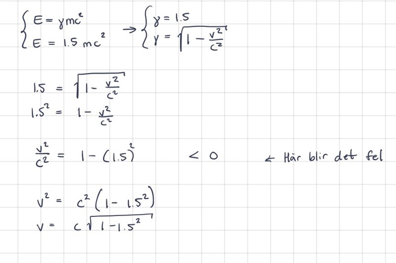
Hastighet hos partikel, 1.5mc^2, titta på min uträkning snälla
Hej, det här är frågan;
Vad är hastigheten hos en partikel som har en total energi av 1.5 gånger sin massa gånger ljushastigheten i kvadrat?
Under delar jag min uträkning, men jag får då roten ur ett negativt tal, vilket inte går. Vart ska jag tänka om? Skriv INTE svaret, bara förslag/tips så jag kan gå vidare, Tack! 
Du har fel formel för .
.
Hoppsan, tack!