1
svar
62
visningar
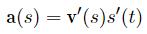
Hastighet och acceleration av parametriserad kurva r(s)=(3s,2s^2)

Enligt facit ska man inte rakt av derivera r'(s) och r''(s) och hitta hastighet och acceleration.
utan facit visar:

Varför gör man detta?
Det står ju att s inte behöver vara tiden, så vi behöver introducera en funktion s(t), och sedan använder de att farten är konstant, antar jag, för att få fram s'(t).