9 svar
5457 visningar
AntonAnton 5 – Fd. Medlem
Postad: 1 jun 2017 17:03 Redigerad: 1 jun 2017 17:26

Cesiumsönderfall

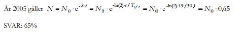
Efter kärnkraftsolyckan i Tjernobyl 1986 spreds bland annat den radioaktiva isotopen 137Cs i vissa delar av Sverige Halveringstiden för cesium-137 är 30,1 år                                                                 

1. 137Cs sönderfaller med  sönderfall. Skriv formeln för sönderfallet                         

2. Hur många procent av denna isotop finns fortfarande kvar idag?                              

Henrik Eriksson 1386 – Fd. Medlem
Postad: 1 jun 2017 17:26

Hur har du försökt? [Jag ändrar rubriken så att den följer reglerna.]

AntonAnton 5 – Fd. Medlem
Postad: 1 jun 2017 18:06
Henrik Eriksson skrev :

Hur har du försökt? [Jag ändrar rubriken så att den följer reglerna.]

förlåt! Jag är ny här

Jag vet inte hur ska börja

Henrik Eriksson 1386 – Fd. Medlem
Postad: 1 jun 2017 19:53

Det är betasönderfall. En neutron blir en proton + en elektron.

AntonAnton 5 – Fd. Medlem
Postad: 2 jun 2017 19:13

 hej!  jag har försökt lösa frågan

1.

 137        137

Cm   =       Ba  +e´ +-V

56        56

2.  Jag har hittat den här lösning

t=31 (år 2017) istället  för 19 

men jag förstår inte

kan någon förklara ?

tack

Smaragdalena 78892 – Avstängd
Postad: 2 jun 2017 20:27

Ja, om Cs sönderfaller genom beta-sönderfall bildas det barium (fast Cm är en annan atom som heter curium, uppkallad efter Marie Curie).

Hur mycket matte har du läst? Har du läst om logaritmer?

AntonAnton 5 – Fd. Medlem
Postad: 2 jun 2017 20:44

Jag har läst matt 2b men före några år sen

Smaragdalena 78892 – Avstängd
Postad: 2 jun 2017 21:01

Då har du i alla fall läst om logaritmer, även om du kanske har glömt det . Snabbversionen är 102=100 10^2 = 100 och 103=1000 10^3 = 1000 . Då kan man klura ut att det finns ett tal t t , 2>t>3, sådant att 10t=50 10^t = 50 . Detta tal kallas lg 50.

För radioaktivt sönderfall gäller det att N(t) = N0·2tTdär N N = mängden radiosktivt ämne vid tiden t, N0 N_0 = mängden radioaktivt ämne från början och T T är halveringstiden. Det finns ingen knapp på ennormal miniräknare som kan räkna ut 2-logaritmer, utan man får skriva om det (ditt exempel använder talet e som bas i stället för 10och då heter det ln i stället för lg, men det funkar likadant) så att det blir N(t) = N0·10lg2·tT. Kan du sätta in dina siffror i den här ekvationen? Är den begriplig?

Det har gått 31 år, och halveringstiden är 30,1 år, så det borde finnas knappt hälften kvar.

AntonAnton 5 – Fd. Medlem
Postad: 3 jun 2017 12:13

 Tack så mycket

jag gjorde så här

N(t)=N0.10^(lg2.31/30.1)

N(t)=N0.0,489

=48% kvar

Smaragdalena 78892 – Avstängd
Postad: 3 jun 2017 14:16

Verkar mycket rimligt fast su har avrundat fel.

Svara
Close