0
svar
27
visningar
Helgproblem #1
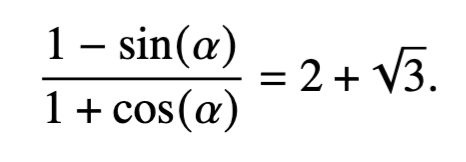
Från Nätet. Kan den lösas utan trigonometri?

En gratistjänst från Mattecentrum
Från Nätet. Kan den lösas utan trigonometri?
