2
svar
75
visningar
Helveringstid för tärningar


Hejsan! Jag har fastnat på denna.
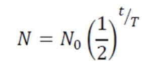
Har fått fram att:
N = 10
N0 = 100
t = 12
Tack på förhand!
/Eliot
Jag tror du behöver ha med hela uppgiftstexten för att man skall se hur problemet är formulerat.
