Hitta accelerationsvektorers x-och y-koordinater
Hej,
jag försöker lösa uppgiften: "En kropp rör sig medurs i en cirkulär bana med radien 400 mm. Då läget passeras är farten 0,45 m/s och den ökar med 0,6 m/s^2 . Beräkna accelerationsvektorns x- och y-komponenter i det aktuella läget"
.jpg?width=800&upscale=false)
Såhär började jag:

Jag förstår inte hur jag kan räkna ut as, hur deriverar jag en vinkel två gånger?
För när jag ritar upp bilden tycker jag att det ser ut som att an och as är xy-koordinaterna. Alltså skulle an vara x-koordinaten, men detta stämmer ej överens med facit.
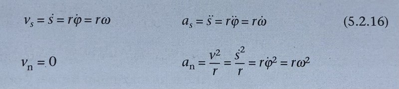
Sambandet hittade jag i boken från:

Vill jag använda trigonometriska samband istället?
Hastighet är given, det ger centripetal acceleration.
Den tangentiella accelerationen är given (är proportionell mot vinkelaccelerationen, men det behöver du inte bry dig om).
Addera som i din ritning. Bestäm sedan x- och y-komposanter.
Menar du att det blir:
an= 0,45 m/s^2
as= 0,6 m/s^2
Eller vad menar du med "addera som i din ritning"?
skrållan100 skrev:Menar du att det blir:
an= 0,45 m/s^2
Nej. Hastigheten är 0,45 m/s.
Beräkna centripetal acceleration.
= 45 m/s
= 0,6 m/s2
r = 400 mm
Vad beskriver ex och ey i detta fall? Är det läget?
Enhetsvektorer i x- och y-riktningarna.
Uppgiften går ju ut på att hitta ax och ay sådana att
= ax + ay.