5 svar
184 visningar
Maggi101 behöver inte mer hjälp
Maggi101 55 – Fd. Medlem
Postad: 18 feb 2021 11:23

Hitta alla reella lösningar

Jag ska hitta alla reella lösningar till:

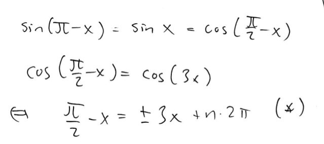
sin(pi-x)=cos(3x)

ovanför visas hur man ska beräkna vidare, men förstår inte tankegången.

Dr. G 9649
Postad: 18 feb 2021 11:26

Skriv om så att du har antingen 

sinA=sinB\sin A = \sin B

eller 

cosC=cosD\cos C = \cos D

När har två vinklar samma sinusvärde? cosinusvärde? Använd enhetscirkeln!

Maggi101 55 – Fd. Medlem
Postad: 18 feb 2021 14:06

Men hur är sin(pi-x)=cos((pi/2)-x)?

Smaragdalena 78892 – Avstängd
Postad: 18 feb 2021 14:10

Har du ritat upp enhetscirkeln med lämpliga rätvinkliga trianglar? Om du behöver mer hjälp så lägg upp din bild här, så kan vi resonera vidare.

Dr. G 9649
Postad: 18 feb 2021 22:20
Maggi101 skrev:

Men hur är sin(pi-x)=cos((pi/2)-x)?

Man kan t.ex använda additionsformlerna för sinus och cosinus för att se att både VL och HL är samma sak som sin(x).

Annars kan man se i en rätvinklig triangel att 

cosx=sin(π2-x)\cos x=\sin(\dfrac{\pi}{2}-x)

d.v.s cosinus för x är sinus för komplementvinkeln till x.

Att supplementvinkeln till x, π - x, har samma sinusvärde som x kan du se på enhetscirkeln.  

Maggi101 55 – Fd. Medlem
Postad: 18 feb 2021 23:20

jag ritade upp enhetscirkeln och rätvinkliga trianglar och förstår galant nu. Tack!

Svara
Close