3
svar
156
visningar
Jezusoyedan behöver inte mer hjälp
hitta allmänna lösningen
Hej!
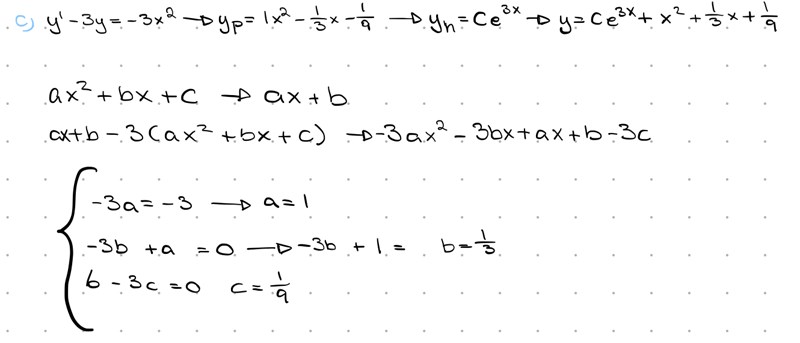
jag har löst uppgiften;
Bestäm allmänna lösningen till y'-3y=-3x^(2)
dock stämmer inte det enligt facit..Vad har jag gjort för fel?
använd integrerande faktor istället
Derivatan är 2ax+b.
Laguna skrev:Derivatan är 2ax+b.
aaaaa jO sant tack