5
svar
141
visningar
Maroh behöver inte mer hjälp
Hitta antalet men hjälp av exponentiell funktion
Jag har löst a) men finner svårigheter med b)
Vet du hur den allmänna formeln för exponentiell tillväxt ser ut?
Ja du är på rätt spår.
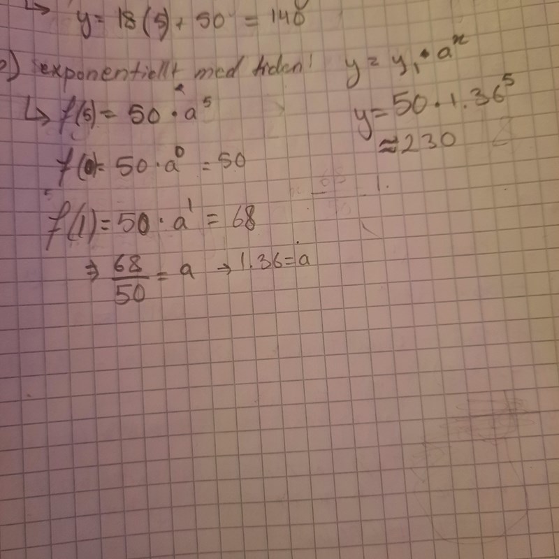
Den allmänna formeln är f(x) = C•ax, där (i det här fallet)
- f(x) är antalet bananflugor x dygn efter start.
- C är antalet bananflugor vid start.
- a är den dagliga förändringsfaktorn.
Du vet att f(0) = 50 och att f(1) = 68.
Det ger dig två ekvationer med vars hjälp du kan bestämma värdena på konstanterna C och a.
Det som sedan efterfrågas är ett närmevärde till f(5).
Kommer du vidare då?
Tack igen för all din hjälp.
Ja det stämmer.
