2
svar
234
visningar
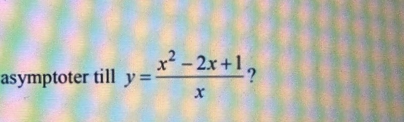
Hitta asymptot
Hej jag förstår inte varför y=1 inte är en asymptot vad är det som är fel i min lösning ?

Du har gjort 2 fel.
Din faktorisering av täljaren är fel. (x-1)^2 ska det vara.
Du delar bägge parenteserna med x, vilket är fel.
Jmför med 2*4/2 = 1*4, inte 1*2
Vill du göra på det sättet får du sedan ställa upp:
Jag skulle nog ha gått direkt på varje term:
Allra först skulle jag ha skissat upp grafen så jag ser vad har att göra med:
