1
svar
212
visningar
Hitta CDF och PDF
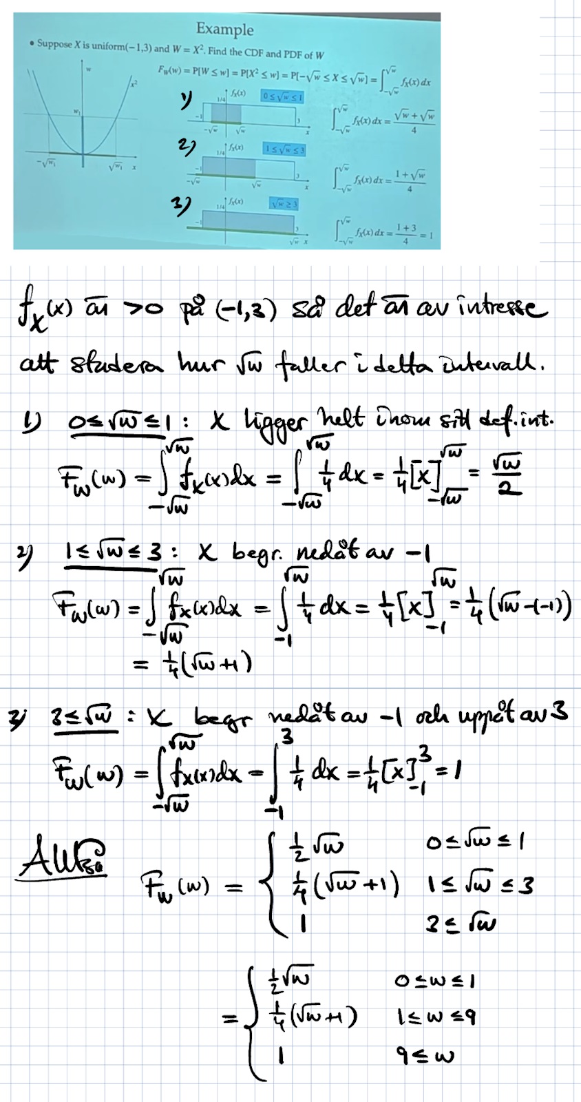
Till uppgiften nedan är jag med fram till , jag vet också att inom intervallet [-1,3] och 0 annars. Vad jag inte är med på är hur man väljer de tre intervallen som är markerade med blått, dvs , och

