1
svar
73
visningar
Hitta definitionsmängd av en komplex funktion

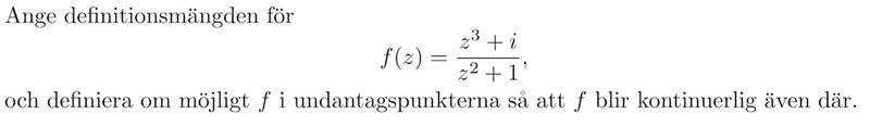
Jag har hittat definitionsmängden, som är att funktionen är definerad överrallt förutom när z = i och när z =-i.
Min fråga är angående andra delen vilket är "definera f i undantagspunkterna så att f blir kontinuerlig även där."
Hur hittar jag dessa punkter?
Hitta en gemensam faktor för täljaren och nämnaren och förkorta bort den.