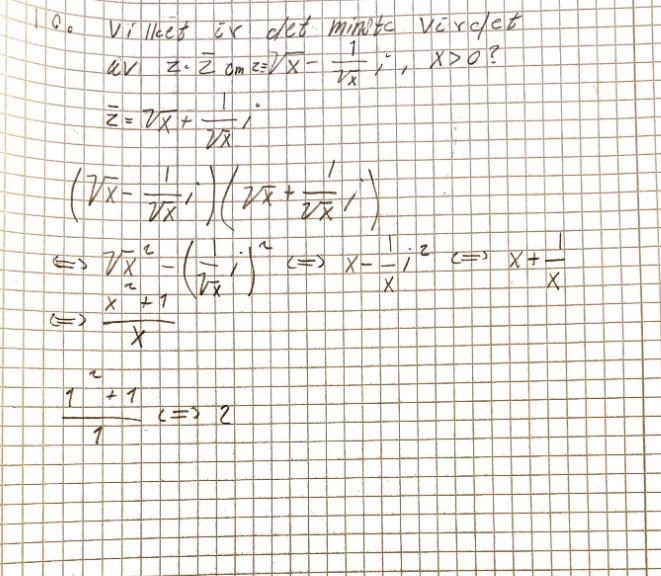
Hitta det minsta värdet av ett imaginärt uttryck.

Jag har som uppgift att lösa denna uppgift men är dessvärre ganska osäker på hur jag skall börja. Är det någon som skulle knna rekommendera en generell strategi för att lösa uppgiften?
Vi antar att de menar det minsta värdet av , annars är frågan meningslös.
En generell strategi kan då vara följande:
- Sätt upp ett uttryck för
- Multilpicera ihop och
- Sätt upp ett uttryck för absolutbeloppet av denna produkt.
- Hitta det minsta möjliga värdet av detta uttryck
Tack! jag gjorde på detta sättet och tror det till att vara korrekt.
Yngve skrev:Vi antar att de menar det minsta värdet av , annars är frågan meningslös.
En generell strategi kan då vara följande:
- Sätt upp ett uttryck för
- Multilpicera ihop och
- Sätt upp ett uttryck för absolutbeloppet av denna produkt.
- Hitta det minsta möjliga värdet av detta uttryck
Det borde väl inte spela någon roll? , så ett extra absolutbelopp verkar onödigt.
Du har missat en faktor 4 i början.
Varför antar du att x = 1 ger det minsta värdet?
Moffen skrev:
Det borde väl inte spela någon roll? , så ett extra absolutbelopp verkar onödigt.
är ett komplext tal. Det går inte att jämföra "storleken" på komplexa tal med varandra om vi inte definierar vad vi menar med storlek. I det här fallet definierar vi det som absolutbelopp.
Yngve skrev:Moffen skrev:Det borde väl inte spela någon roll? , så ett extra absolutbelopp verkar onödigt.
är ett komplext tal. Det går inte att jämföra "storleken" på komplexa tal med varandra om vi inte definierar vad vi menar med storlek. I det här fallet definierar vi det som absolutbelopp.
Jovisst, men produkten i sig är ett (positivt) reellt tal, eftersom det är lika med normen i kvadrat av det komplexa talet .
Hur kan det vara komplext då det alltid gäller att:
?
Tack för vaksamheten! =.
Att jag antydde minsta värdet till att vara 1 var rent intuitivt (inte ett särksild bra matematiskt försvar haha). Hur skulle du rekommendera att jag går till väga för att hitta det minsta värdet på x?
tomast80 skrev:Hur kan det vara komplext då det alltid gäller att:
?
Det borde bero på om man vill betrakta de reella talen som en delmängd av de komplexa talen, då är även ett komplext tal.
EDIT: Jag vet inte varför jag skrev att just är ett komplext tal, jag menar alla reella tal då även är komplexa tal*.
Ralfs skrev:Tack för vaksamheten! =.
Att jag antydde minsta värdet till att vara 1 var rent intuitivt (inte ett särksild bra matematiskt försvar haha). Hur skulle du rekommendera att jag går till väga för att hitta det minsta värdet på x?
Klassiska sättet är ju att bestämma vilka som ger , d.v.s. en extrempunkt.
Moffen skrev:tomast80 skrev:Hur kan det vara komplext då det alltid gäller att:
?
Det borde bero på om man vill betrakta de reella talen som en delmängd av de komplexa talen, då är även ett komplext tal.
EDIT: Jag vet inte varför jag skrev att just är ett komplext tal, jag menar alla reella tal då även är komplexa tal*.
Bra poäng! I den meningen är det ju komplext. Jag tycker dock det kändes rätt naturligt att söka minimum till en vanlig reell funktion, i det läget anser jag inte att en fiktiv term på bidrar.
Vore det inte lika bra att göra , där x=i/4 är det korrekta svaret till frågan?
Nej varför det?
Följ stegen och visa dina beräkningar.
Ah du har helt rätt! Tack så mycket.