3
svar
128
visningar
Megalomanen behöver inte mer hjälp
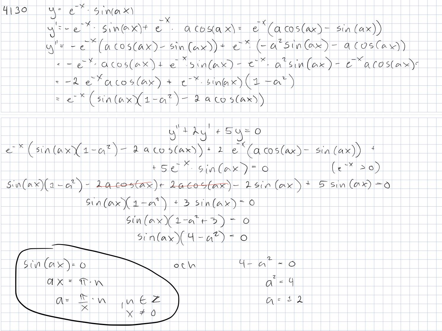
Hitta det reella talet a
Hej! Jag undrar vad jag gör fel på slutet!


Jag ser att a=0 också är en lösning, men jag vet aldrig när man bara ska "dra en slutsats" och när det måste visas allmänt som i mitt försök här!
Det ska inte vara något x i värdet på a. Den inringade delen har alltså ett värde på a som gör faktorn till noll, nämligen a = 0.
Men om a = π n och x= 1?
Då råkar differentialekvationen vara sann för x = 1, men den ska vara sann för alla x.