hitta dr/dt som en funktion för arean av en cirkel
Hej har denna fråga

och hade lite svårt med a men förstod dock men när jag räknade på b så blev det fel och jag förstår inte riktigt..
såhär tänkte jag:
arean av en cirkel är A=pi*^2
och dA/dt = 1/3 km^2/h
på b) menar de att vi vill uttrycka hastighetsförändringen av raden med avseende på tiden dvs dr/dt som en funktion av Arean av cirkeln
ställer upp
tänkte innnan att man implicit deriverade men då får man uttrycket för dA/dt och dr/dt man vill ju ha med Arean A i funktionen så det funkar inte försökte sedan räkna fram detta genom att först isolera radien ur uttrycket, så att man får den som en funktion av arean
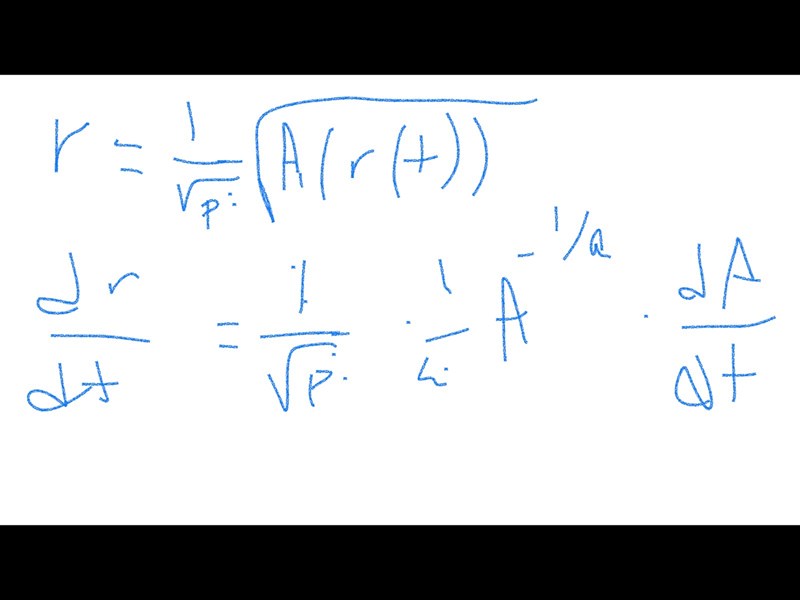
sedan implicit derivarade jag båda sidor, där det blev
vilket inte är rätt och inte ser rimligt ut, såhär står det i facit.

vad är det jag kan ha missuppfattat med uppgiften ?
tack på förhand!
Du har nog deriverat fel. Kolla här, om du kan läsa dessa hieroglyfer:

Analys skrev:Du har nog deriverat fel. Kolla här, om du kan läsa dessa hieroglyfer:
okej tack så mycket!