Hitta ekvation till en graf; naturliga logaritmer
Hej!
Här är en uppgift som jag fastnat på, såhär har jag tänkt men vet inte vart det blev. Känner mig rätt osäker på naturliga logaritmer, så hoppas nån kan hjälpa till!
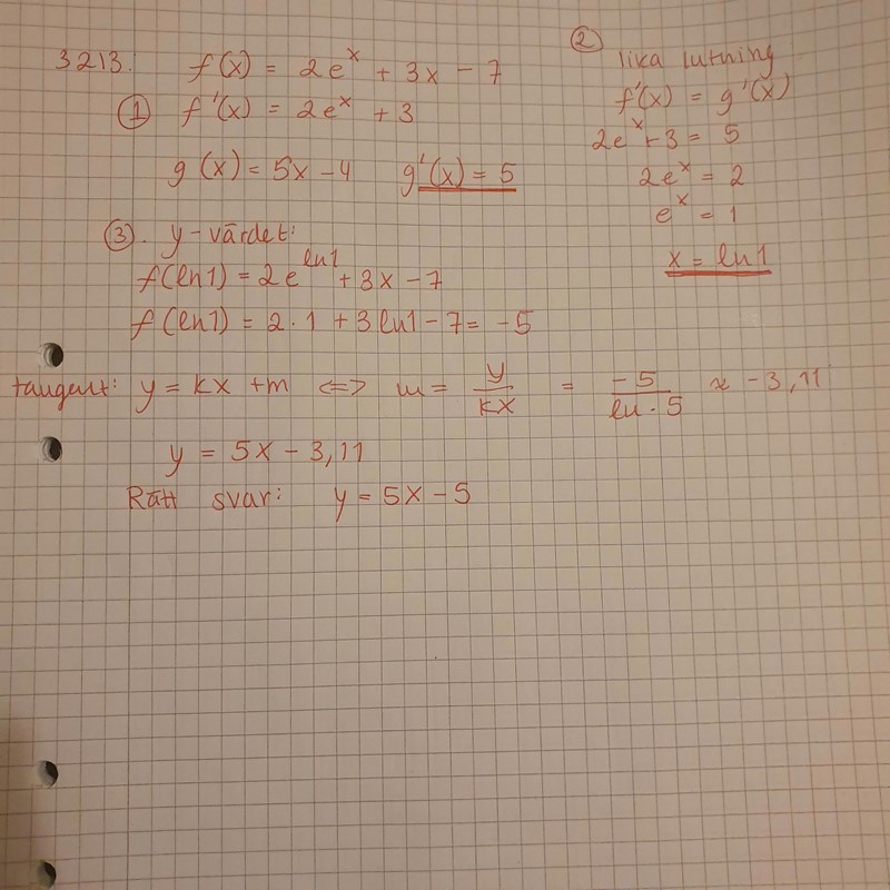
Bestäm den ekvation till grafen f(x)=2e^x+3x-7 som är parallell med linjen y=5x-4.

Ekvation? Det ska inte möjligen stå tangent?
Edit: jag ser att du löser problemet på rätt sätt, men på slutet händer konstiga saker. ln1 är helt enkelt noll, och du får fram funktionsvärdet till -5 också. Så då är du nästan klar. Hur kan y = kx+m bli m = y/kx och varifrån kommer ln5?
Laguna skrev:Ekvation? Det ska inte möjligen stå tangent?
Edit: jag ser att du löser problemet på rätt sätt, men på slutet händer konstiga saker. ln1 är helt enkelt noll, och du får fram funktionsvärdet till -5 också. Så då är du nästan klar. Hur kan y = kx+m bli m = y/kx och varifrån kommer ln5?
Ja, justa ja! Var trött igår kväll, det ska vara såhär m=y-kx såklart, vilket gör att det borde bli: m=-5- (ln1*5)=-5.
vilket också är rätt, tack för hjälpen!