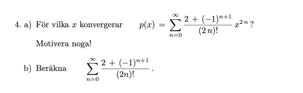
Beräkna taylor serie
behöver hjälp med 4b, vet inte riktigt vad det är jag ska göra
Påminner uttrycket i summan dig om någon taylorserie? Något som ser relativt likt ut?
AlexMu skrev:Påminner uttrycket i summan dig om någon taylorserie? Något som ser relativt likt ut?
påminner mig lite om e^x
En trig. funktion har "jämna steg" i nämnaren" (vilken?) och du har rätt om att man kan använda e^x. Vad händer om du studerar summan för e^x + e^(-x)?
Trinity2 skrev:En trig. funktion har "jämna steg" i nämnaren" (vilken?) och du har rätt om att man kan använda e^x. Vad händer om du studerar summan för e^x + e^(-x)?
Ja det funkar! Märkte att serien också liknar cosx, dock så har den inte liknande exponent för -(1)
Koizenu skrev:Trinity2 skrev:En trig. funktion har "jämna steg" i nämnaren" (vilken?) och du har rätt om att man kan använda e^x. Vad händer om du studerar summan för e^x + e^(-x)?
Ja det funkar! Märkte att serien också liknar cosx, dock så har den inte liknande exponent för -(1)
Vad händer om du bryer ut en av -1? Då blir den mera lik?