1
svar
113
visningar
Hitta funktion till Fourierserie


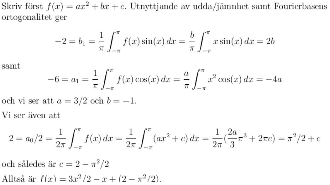
Jag undrar varför man endast behöver ta med konstanten c när a(0) beräknas, och inte a(n) samt b(n). Konstanten c är ju varken jämn eller udda så borde inte den behöva vara med i samtliga beräkningar?
Integralen av en konstant gånger sin eller cos x över intervallet till kommer alltid vara 0, så den bidrar inte: