1
svar
84
visningar
maskinstudent02 behöver inte mer hjälp
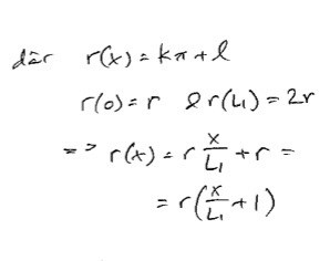
Hitta funktionen för radien vid en kon
Hejsan! Jag har en stympad kon som jag behöver hitta r(x) för, dvs hur radien ändras längs konens längd.
Nedan hittar ni en bild, enligt facit i uppgiften så kommer min lärare fram till att
dock förstår jag faktiskt inte hur han har kommit fram till det, jag köper att r(x) bör vara någon slags linjär funktion som Vi har fått dessa villkor Jag vet att man ska härleda det utifrån villkoren, men vet inte riktigt var jag ska börja Någon som har en bra ide?

Hej och välkommen till Pluggakuten!
Se koordinatsystem inlagt i bilden.
För gäller att .
Med de två punkterna och får vi och , vilket ger oss
