8
svar
135
visningar
mueoc behöver inte mer hjälp
hitta kraft

Jag lyckades lösa ut a)
Lösningen är
sin^-1(1/3) = 19.5
Men b och c. Har jag inte lyckas lösa.
b) Cos(19.5)*mg= fel
c) Sin(19.5)*mg = fel
mueoc skrev:Har jag inte lyckas lösa.
Har du ritat krafterna?
Pieter Kuiper skrev:mueoc skrev:Har jag inte lyckas lösa.
Har du ritat krafterna?
Ja det har jag gjort

Summan av Fy = -sin(a)* Fg + FI= 0
Summan av Fx = cos(a)*Fg - Fn = 0
Om man nu menar att göra ett allvarligt försök, något som ska leda till en lösning, kunde man ju rita så att kraftsumman är noll.
Pieter Kuiper skrev:Om man nu menar att göra ett allvarligt försök, något som ska leda till en lösning, kunde man ju rita så att kraftsumman är noll.
Har jag ritat krafterna fel?
Jan Ragnar skrev:
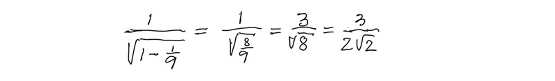
Hur fick du täljaren till 3
Jan Ragnar skrev:
ok tack

