1
svar
56
visningar
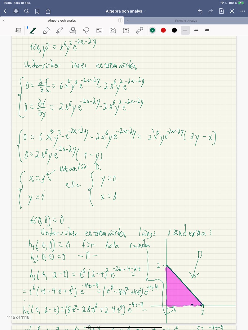
Hitta maximi- och minimivärde till funktion



Vad har jag gjort för fel? Det här har onekligen blivit knasigt.
Tack på förhand!
Dubbelkolla exponenten på e i h3, alltså när du sätter in x=t och y=2-t. Borde inte t:na ta ut varandra där?