Hitta Mclaurin serie
Jag försöker hitta McLaurin serie för detta uttryck
men jag vet inte hur jag ska börja. Formeln ger inte mycket för mig, kan ngn ge mig ett tips på hur jag ska tänka?
Vet du vad en mclaurin serie är?
den har den här formeln och att den ska väl vara kring punkten 0?
Det där är formeln för en taylor serie. Precis som du säger är en maclaurin serie samma sak som en talyor serie där a=0
Vet du hur du ska börja?
Jag kommer så långt men jag vet inte hur jag ska skriva det i summa notation
Vad är förstaderivatan av funktionen?
Vad är andraderivatan av funktionen?
Vad är tredjederivatan av funktionen?
...
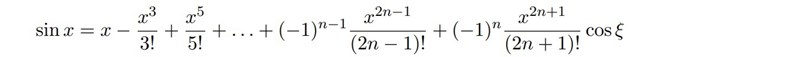
jag använde den här formeln oxå:
Hur ser det ut när du har använt den formeln? Har du tagit hänsyn till att argumentet för sinus inte är x?
Nej, autocorrect, jag menar inte snus när jag skriver sinus.