3
svar
177
visningar
Na5a behöver inte mer hjälp
Hitta potentialfunktionen till ett givet vektor fält
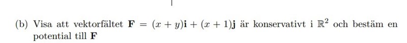
Jag vill lösa denna uppgift:
Såhär löser jag den:

och mitt svar är x^2/2 + xy, på facit står det att det ska vara x^2/2 + xy + y, vad gör jag fel?
Du border integrera x + y och x + 1, istället för att derivera. Du borde finna ett gemensam primitiv funktion
När du integrerar har du glömt konstanttermen. Konstanten är beroende på y.
Tack!