Hitta primideal
Hej!
Jag ska hitta ett primideal i och visa att det är ett primideal.

Detta är lösning och jag förstår varken hur de gjorde för att ta fram som primideal eller beviset på att det är just ett sådant. (I slutet har de med att är ett maximalt ideal i vilket de bevisade i en tidigare fråga så just det behöver ingen vidare förklaring)
Tack på förhand!
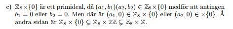
Dom har troligtvis bara "gissat" sig fram till . För att visa att det är ett primideal så ska du visa att det gäller för alla att om det gäller att så gäller det att eller att . Samt så måste det gälla att det inte är hela ringen, vilket är vad dom visar där i slutet när dom säger att det är en äkta delmängd.
Att det är en äkta delmängd till innebär bara att det inte är ett maximal ideal, varför dom poängterar det vet jag inte riktigt.