3
svar
151
visningar
Hitta primitiv, intergral
Hej,
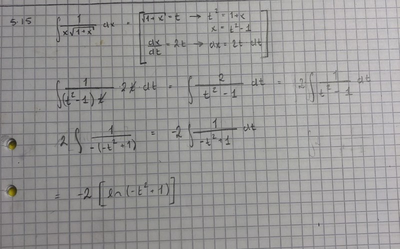
jag försöker bestämma
och har gjort såhär:

Det sista ledet är fel, eftersom att jag får ett t för mycket ifall jag skulle derivera det. Men förstår inte hur jag ska hitta en primitiv funktion till .
Faktorisera nämnaren och partialbråksuppdela.
Räknade om uppgiften från början nu. Gjorde samma variabelbyte, men blev osäker på vad jag egentligen ska derivera. Såhär blev det nu:

Kollade tillbaka på andra övningar, där jag deriverat det jag ansatt som t. Är det samma här?
Hej,
Du definierar och påstår sedan att .
Hur tänkte du där?