Hitta primitiva funktionen till sin(x)*x
Hej! Jag har försökt att hitta den primitiva funktionen till x*sin(x) men det blir bara fel. Hur ska jag göra

känner du till partiell integration?
Använd:
ItzErre skrev:känner du till partiell integration?
Nej. Det är inte på ma4 nivå
Soderstrom skrev:Använd:
Vad menar du? Jag förstår inte
hmm, det gör uppgiften svårare. Det kan vara så att du ska "testa" dig fram till ett svar
Jag hade gjort såhär
Formel:
Det ger att
+c
Alternativt kan man bestämma konstanterna från sambandet nedan:
Katarina149 skrev:Soderstrom skrev:Använd:
Vad menar du? Jag förstår inte
Vad handlar kapitlet som detta tal kommer ifrån?
Jag själv tror inte att man lär sig "integration by parts" i Ma4.
Om du är intresserad, sök på youtube! :)
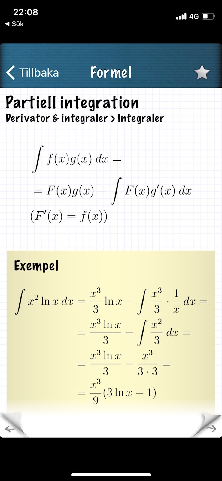
Se exempel nedan:

Men det här ingår inte i ma4 utan i ma5. Kan man lösa det på ngt annat sätt?
Varifrån har du hämtat uppgiften?
Katarina149 skrev:Men det här ingår inte i ma4 utan i ma5. Kan man lösa det på ngt annat sätt?
Men du har lagt den i Matte 4 kategorin! :)
Det kommer ifrån nationella prov Ma4

Den kanske ingår i den delen du kan använda räknare på.
Hur kan man isf använda räknaren?
Beror på hur din räknare ser ut. Googla din räknare och se om du hittar hur man integrerar med den, annars posta här :)
Tillägg: 8 mar 2022 23:04
Finns fler videospå youtube