Hitta Q
Det är i princip sista steget som jag fastnar på. Hur hittar jag punkten Q?
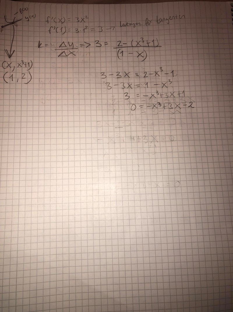
Jag behöver ha hjälp med att förenkla ekvationen

Rita.
Jag vill lösa den algebraisk
Du skall lösa uppgiften algebraiskt, men första steget är att rita. Lägg upp bilden här.
Så här ser funktionen ut
Jag ser ingen tangent.
Vi antar att punkten Q är okänd för oss
Din tredjegradsekvation i början, som jag tycker ser rätt ut, kan du förenkla genom att utnyttja att du vet att en rot är 1. Så du kan dela uttrycket med x-1 så får du en andragradsekvation.
Laguna skrev:Din tredjegradsekvation i början, som jag tycker ser rätt ut, kan du förenkla genom att utnyttja att du vet att en rot är 1. Så du kan dela uttrycket med x-1 så får du en andragradsekvation.
Varför ska jag dela med x-1? Vad är det jag ska dela med x-1?