2
svar
118
visningar
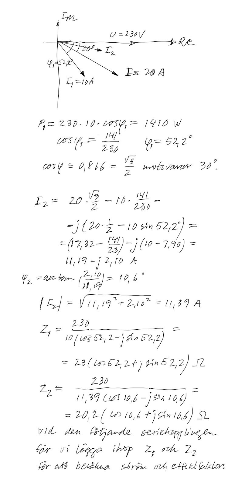
Hitta resistans samt induktanser pararellkoppling
Hej!
jag bifogar bilder på uppgiften och min påbörjade lösning. Jag misstänker att jag gör något knasigt då jag får konstiga(?) värden på min första induktans. Kan ni se om jag gjort något fel i min uträkning?


Jag ser nu att jag inte alls behöver ta fram induntansen L utan jag behöver bara X(L1) och X(L2) för att lösa uppgiften. Men jag har inte fått rätt värde på mitt X(L1), enligt tips ska X(L1) = 18.2 med fasvinkel 90°
