Hitta rötter till andragradsekvation innehållande komplexa tal
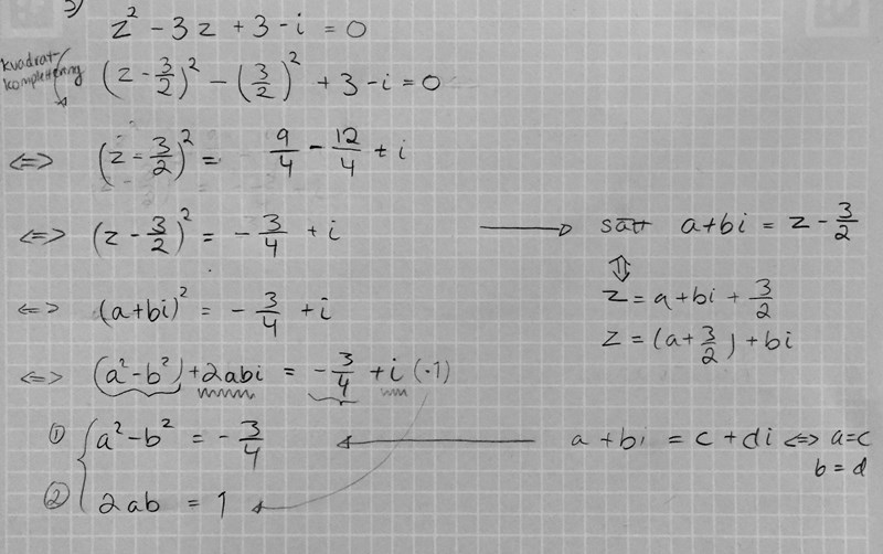
hitta rötter till z^2 - 3z + 3 -i = 0
första steget blir väl att kvadratkomplettera för att kunna bryta ut z? Men hur går man tillväga vidare efter det?
Visa vad du får om du kvadratkompletterar. Annars funkar pq-formeln även för komplexa koefficienter.
Vad får du när du kvadratkompletterar? Och vet du hur du kan hantera roten ur komplexa tal genom att ansätta (a+bi)^2=z ?
reemma skrev :hitta rötter till z^2 - 3z + 3 -i = 0
första steget blir väl att kvadratkomplettera för att kunna bryta ut z? Men hur går man tillväga vidare efter det?
Välkommen till Pluggakuten!
En kvadratkomplettering ger dig ekvationen , där de komplexa talen och bestäms av de komplexa talen och ; jag överlåter till dig att bestämma dessa två komplexa tal. Inför sedan beteckningen och skriv de komplexa talen och på exponentialform,
där betecknar ett godtyckligt heltal och talen och är bestämda av det kända komplexa talet . Ekvationen blir då
,
vilket betyder att
.
I det här fallet är SvanteRs metod bättre än polär form.
Henrik Eriksson skrev :I det här fallet är SvanteRs metod bättre än polär form.
På vilket sätt är den bättre?
Argumentet för b är ingen känd vinkel.
såhär gjorde jag:
kvadratkompletterade, förenklade, ansatte (a+bi)^2=z som SvanteR sa, och därifrån lösa a och b var för sig.
Tack för all hjälp!

