17 svar
250 visningar
lund 529 – Fd. Medlem
Postad: 28 maj 2021 09:20 Redigerad: 28 maj 2021 09:21

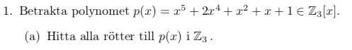
Hitta rötter till p(x)

Hej, jag håller på att gå igenom gamla tentor och försöker att lösa följande uppgift:

Min första tanke var att utföra polynomdivision men då jag inte hittar något uttryck att dela med så har jag fastnat, det vill säga det finns inget heltal x sådan att p(x) = 0. Gör man på ett annat sätt när man ska hitta rötterna i Z3? All hjälp uppskattas, tack på förhand!

Laguna 32124
Postad: 28 maj 2021 09:24

Z3 är ju inte så stor. Varför inte prova alla element?

lund 529 – Fd. Medlem
Postad: 28 maj 2021 09:34 Redigerad: 28 maj 2021 09:34
Laguna skrev:

Z3 är ju inte så stor. Varför inte prova alla element?

Från detta får jag 6 när jag sätter in ett och 71 när jag sätter in två. Kan jag dela polynomet med z-6 då för att få fram rötterna?

Smaragdalena 78892 – Avstängd
Postad: 28 maj 2021 09:44

Betyder inte 3att du skall räkna modulo 3? Då existerar varken 6 eller 71.

SvanteR Online 2783
Postad: 28 maj 2021 09:54

6 "finns" inte i 3!

3 betyder mängden av alla ekvivalensklasser av tal som är kongruenta med varandra i modulo 3. Det betyder rent konkret att alla heltal kan delas in i 3 grupper:

Tal som är kongruenta med 0 modulo 3

Tal som är kongruenta med 1 modulo 3

Tal som är kongruenta med 2 modulo 3

Alla heltal passar in i någon av de grupperna. När man räknar i 3 brukar man bara använda tre siffror, nämligen 0, 1 och 2. Då betyder 0 alla tal som är kongruenta med 0 modulo 3, 1 alla tal som är kongruenta med 1 modulo 3 och 2 alla tal som är kongruenta med 2 modulo 3.

Så vilken siffra ska man använda i stället för 6?

lund 529 – Fd. Medlem
Postad: 28 maj 2021 12:16 Redigerad: 28 maj 2021 12:24
SvanteR skrev:

6 "finns" inte i 3!

3 betyder mängden av alla ekvivalensklasser av tal som är kongruenta med varandra i modulo 3. Det betyder rent konkret att alla heltal kan delas in i 3 grupper:

Tal som är kongruenta med 0 modulo 3

Tal som är kongruenta med 1 modulo 3

Tal som är kongruenta med 2 modulo 3

Alla heltal passar in i någon av de grupperna. När man räknar i 3 brukar man bara använda tre siffror, nämligen 0, 1 och 2. Då betyder 0 alla tal som är kongruenta med 0 modulo 3, 1 alla tal som är kongruenta med 1 modulo 3 och 2 alla tal som är kongruenta med 2 modulo 3.

Så vilken siffra ska man använda i stället för 6?

Det enda jag kan tänka på är att 6 modulo 3 är 0? Medan 71 modulo 3 är 2, ska jag räkna med 2 då? Räknar jag med två så får jag resten 3 vilket blir 0 i modulo 3?

Smaragdalena 78892 – Avstängd
Postad: 28 maj 2021 12:27

6 är inte kongruent med 2 modulo 3.

lund 529 – Fd. Medlem
Postad: 28 maj 2021 12:29
Smaragdalena skrev:

6 är inte kongruent med 2 modulo 3.

Tack, menade såklart att 71 var kongruent med 2 modulo 3.

lund 529 – Fd. Medlem
Postad: 28 maj 2021 12:33

Om jag dividerar med (x+2) får jag (x4+x-1)(x+2) med resten 3 som är kongruent med 0 modulo 3. Sedan får jag en rot i -2 som är kongruent med 1 modulo 3 och tillsist måste jag även räkna på (x4+x-1)=0, stämmer detta?

Laguna 32124
Postad: 28 maj 2021 13:10

Det låter rätt. Vi vill väl hitta rötternas multiplicitet också, så det är därför vi gör så här.

Vi behöver kanske inte hitta en fullständig faktorisering. x4+x-1 har inga nollställen i Z3, men den går att faktorisera i två andragradspolynom om man vill.

lund 529 – Fd. Medlem
Postad: 28 maj 2021 13:24
Laguna skrev:

Det låter rätt. Vi vill väl hitta rötternas multiplicitet också, så det är därför vi gör så här.

Vi behöver kanske inte hitta en fullständig faktorisering. x4+x-1 har inga nollställen i Z3, men den går att faktorisera i två andragradspolynom om man vill.

Tack så mycket för hjälpen! Jag kom nu även att tänka på om jag sätter in 0 i p(x) så får jag svaret 1, ska jag även dividera med x-1 då?

Laguna 32124
Postad: 28 maj 2021 13:29

Nej, om p(0) = 1 så är 1 inte ett nollställe, och därmed x-1 inte en faktor.

Smaragdalena 78892 – Avstängd
Postad: 28 maj 2021 13:40
Laguna skrev:

Nej, om p(0) = 1 så är 1 inte ett nollställe, och därmed x-1 inte en faktor.

Menar du att 0 inte är ett nollställe, och att x = 0 inte är en faktor?

lund 529 – Fd. Medlem
Postad: 28 maj 2021 13:41 Redigerad: 28 maj 2021 13:43
Smaragdalena skrev:
Laguna skrev:

Nej, om p(0) = 1 så är 1 inte ett nollställe, och därmed x-1 inte en faktor.

Menar du att 0 inte är ett nollställe, och att x = 0 inte är en faktor?

Jo det borde de också vara, kan jag även dividera med endast x då? Sen verkar jag även ha missat att jag väl ska dividera med x-2 och inte x+2 om p(x)=2?

Laguna 32124
Postad: 28 maj 2021 14:08
Smaragdalena skrev:
Laguna skrev:

Nej, om p(0) = 1 så är 1 inte ett nollställe, och därmed x-1 inte en faktor.

Menar du att 0 inte är ett nollställe, och att x = 0 inte är en faktor?

Jag menade att vi inte får veta något om x-1, som frågeställaren ville dela med.

lund 529 – Fd. Medlem
Postad: 28 maj 2021 14:10
Laguna skrev:
Smaragdalena skrev:
Laguna skrev:

Nej, om p(0) = 1 så är 1 inte ett nollställe, och därmed x-1 inte en faktor.

Menar du att 0 inte är ett nollställe, och att x = 0 inte är en faktor?

Jag menade att vi inte får veta något om x-1, som frågeställaren ville dela med.

Jag förstår inte riktigt längre, ska jag dividera med samtliga x, (x-1) och (x-2)? Eller är det x, (x+1) och (x+2) jag ska dividera med? Trodde att jag förstod först men tyvärr inte längre

SvanteR Online 2783
Postad: 28 maj 2021 15:22

Jag förstår inte varför du ska göra en polynomdivision öht? Det behövs i alla fall inte för att lösa uppgift a (och de andra har du inte visat)!

Det finns bara tre tal i 3, och de talen är 0, 1 och 2. Sätt in dem i polynomet. Om resultatet blir 0 har du en rot, om det inte blir 0 har du inte en rot. Sedan vet du svaret!

Laguna 32124
Postad: 28 maj 2021 15:24

Det är precis som vanliga polynom, som i gymnasiet. Om p(x) är ett polynom och p(a) = 0 så är x-a en faktor i p(x).

Om p(a) = b och b är skilt från 0 så händer inget intressant om vi delar med vare sig x-a eller x-b. x-a kommer att ge en rest, och vad x-b ger vet vi inget om.

Svara
Close