hitta sned apsymtos
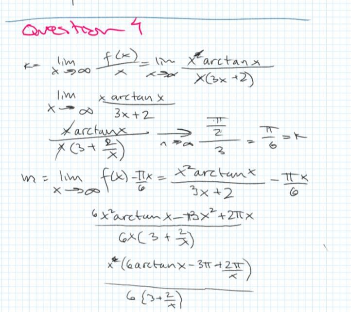
hej i min uppgift skall jag hitta de sneda apsymtoterna till f(x)=(x^2arctanx)/(3x+2) jag har börjar med det ena men jag får problem då jag skall hitta mitt m för ekvationen.
jag kommer inte vidare. kan nån snälla hjälpa mig
jag tror jag kan ha förstått vad jag gjort fel
fast det förändrade inte så mycket för att jag fortfarande har ett x i täljaren
Det gäller att
när och när
Sätt och undersök när .
jo jag har oxå kommit så långt men 1/(3/x+2/x^2) (det jag ringade in) då x-->oändligheten blir ju 1/0 vilket man inte får göra
För alla reella tal gäller det att
och notera att så att
.
Gör sedan en Maclaurinutveckling av arcustangensfunktionen för att få
.
Det ger
vi har inte fått lära oss det än. går det att lösa den på annat sätt?
Här diskuterade vi i stort sett samma uppgift (det skiljer sig ett minustecken, men jag tror dessutom att det bara var fel avskrivet):