Hitta steckan utan given hastighet.
Hej igen!
Jag testade med att lösa uppgiften mha energiprincipen men insåg att hastighet för stenen saknas. Jag provade formlerna för kaströrelse men behöver igen Vo. Det nämns att stenen startar från vila, men i detta fall är både Vox och Voy lika noll. Vad har missat från uppgiften? 

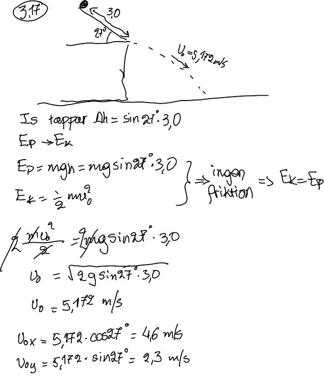
Isbiten startar från vila och glider friktionsfritt utför taket.
Det betyder att du kan använda energiprincipen för stt ta reda på storleken av den hastighet som isbiten har när den lämnar taket.
Nu saknar jag bara tid..
Du har beräknat isbitens hastighet när den landar på marken.
Men du vill börja med att ta reda på vad hastigheten är när drt lämnar taket.
Då kan du nämligen med hjälp av trigonometri ta reda på både den vertikala och den horisontella hastigheten vud den tidpunkten.
Den vertikala hastigheten behöver du för att beräkna hur lång falltiden är och den horisontella för att beräkna hur långt ut från huset isbiten når under falltiden.
Hej,
Jag ber om ursäkt för mitt sena svar. Jag hade prov på matte och satt allt fokus på den.
Tack vare dina tips, kunde jag gå vidare men har fastnat på Vo. Jag tror att Vo kan inte vara lika med noll för isbiten glider längs med taket. Försökte ändå med vo=0

Varifrån kommer talen 30 i nämnarna och vad betyder det?

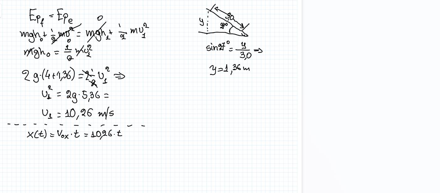
Ditt första försök var bättre, men du räknade ut fel hastighet.
Du kan tänka så här:
När isbiten glider nerför taket så tappar den höjd () och den förlorar därmed lägesenergi. Storleken på denna energiförlust är .
Eftersom isbiten glider utan friktion så kommer hela denna energiförlust att resultera i en ökning av isbitens rörelseenergi , där är isbitens hastighet när den lämnar hustaken.
Vi får alltså att , vilket ger oss att
Du kan nu beräkna x- och y-komposanterna av denna urprungshastighet enligt
Kommer du vidare då?
Yngve skrev:Varifrån kommer talen 30 i nämnarna och vad betyder det?
Jag skulle egentiligen ha skrivit 3,0 istället för 30. Men det var helt fel. 3,0 har enhet m och vi letar efter hastighet..
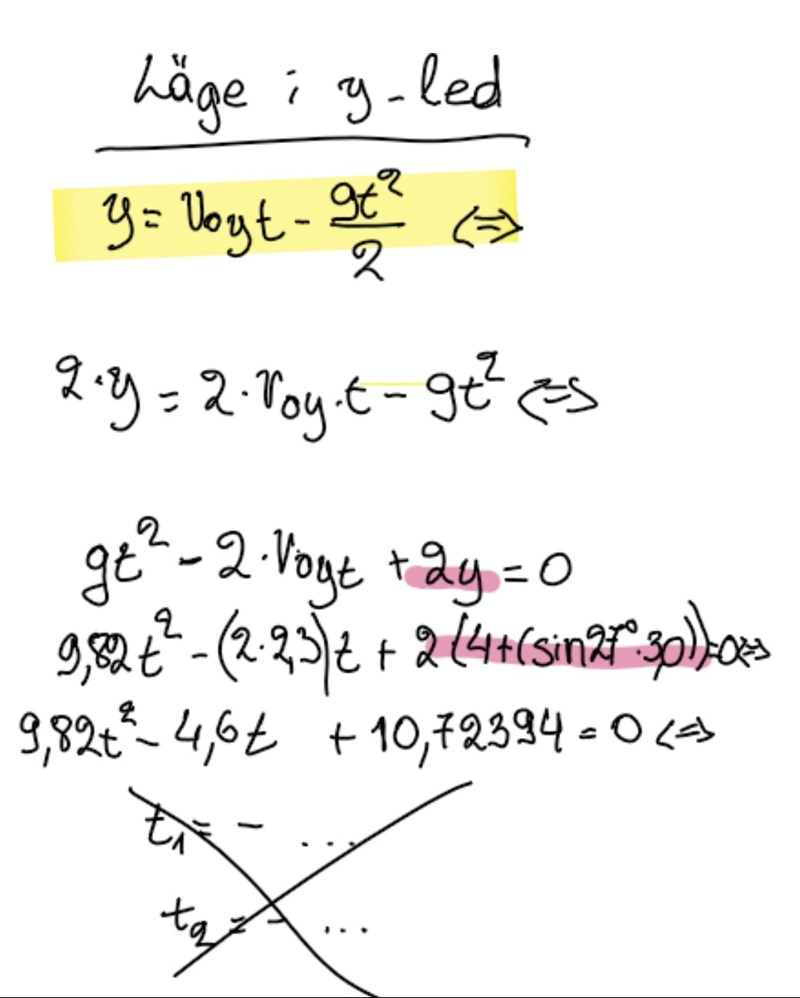
Jag kom vidare tills i behövde sätta värde för Y. Jag markerade den med rosa färg. Jag får igen negativa värde för t och så tror att problemet är y. 

Nu ser det bättre ut.
Men du behöver rita in ett koordinatsystem i din bild så att det blir tydligt var origo ligger samt vilka rikningar x och y har.
Att du inte har gjort det leder till ett par oklarheter (se bild):
- Det saknas ett y0 i den gulmarkerade ekvationen (vi saknar ett origo och därmed ett startvärde för y).
- Det är oklart varför du subtraherar gt2/2 från v0yt istället för att addera (vi saknar en riktning och därmed ledning kring tecknen här).
- Det är oklart varför du ersätter y med 4+sin(27°)*3,0 lite senare.



1. Jag glömde att lägga y0. Tack för det!
2. Jag förstår inte varför jag måste addera gt^2/2. V0y är riktad neråt och Fg är också riktad neråt.
3. Y ersatts med 4+sin(27°)*3,0 för jag trodde att Y står för startläge (h0), vilket var fel.
Ja, nu ser det bättre ut. Men du har satt v0, v0x och v0y på fel ställen. De ska vara där du nu har skrivit v1, v1x och v1y.
Kapi skrev:
[...]
1. Jag glömde att lägga y0. Tack för det!
OK, bra
2. Jag förstår inte varför jag måste addera gt^2/2. V0y är riktad neråt och Fg är också riktad neråt.
Nu är det rätt, men förut hade du ett positivt värde på v0yt från vilket du subtraherade det positiva vördet gt2/2. Det betyder att du hade positiv y-riktning neråt för termen v0yt men uppåt för termen gt2/2.
3. Y ersatts med 4+sin(27°)*3,0 för jag trodde att Y står för startläge (h0), vilket var fel.
OK, bra.
Yngve skrev:Ja, nu ser det bättre ut. Men du har satt v0, v0x och v0y på fel ställen. De ska vara där du nu har skrivit v1, v1x och v1y.
Står V0 inte för begynnelsehastighet? Alltså hastighet med vilken föremål börjar att röra sig?
Ja, så kan du göra.
I så fall har du att v0 = 0 m/s eftersom isbiten börjar från vila innan den börjar glida.
Och då är det v1 du först ska beräkna och sedan räkna med i positionsformlerna.
Yngve skrev:Du har beräknat isbitens hastighet när den landar på marken.
Men du vill börja med att ta reda på vad hastigheten är när drt lämnar taket.
Jag blev lite förvirrad av det. Jag uppdaterade min skiss men ville fråga om V1 är både hastigheten när isbiten landar på marken och hastigheten när isbiten lämnar taket.

Nej, eftersom isbiten tappar lägesenergi på vägen ner mot marken så ökar rörelseenergin på vägen ner mot marken. Det betyder att hastigheten när den når marken, vi kan kalla den v2, är högre än hastigheten när den lämnar taket, dvs v1
Vi har alltså att v0 < v1 < v2.
Juste! Nu är jag 100% med.
Tack för hjälpen och tålamodet!