Hitta största och minsta värdena
Denna uppgift:

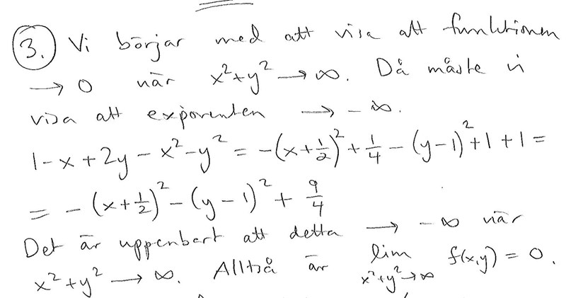
Det jag inte riktigt förstår är varför man vill just kolla på x^2 + y^2 ? Det är väl minus mellan termerna?
Man skulle kunna skriva den första meningen som "Vi börjar att visa att funktionen 0 när punkten (x,y) avlägsnar sig från origo". är ju kvadraten på avståndet mellan punkten (x,y) och origo.
Smaragdalena skrev:Man skulle kunna skriva den första meningen som "Vi börjar att visa att funktionen 0 när punkten (x,y) avlägsnar sig från origo". är ju kvadraten på avståndet mellan punkten (x,y) och origo.
Tack, 1. varför måste vi bevisa att funktionen går mot 0 när just x^2 + y^2 går mot oändligheten? 2. varför skall just x^2 + y^2 gå mot oändligheten?
Avståndet från en punkt (x,y) till origo kan beräknas som (det bygger på Pythagoras sats). Man skulle kunna skriva att det är som skall gå mot oändligheten, men visst är det en aning enklare att bara säga att skall gå mot oändligheten?!
Smaragdalena skrev:Avståndet från en punkt (x,y) till origo kan beräknas som (det bygger på Pythagoras sats). Man skulle kunna skriva att det är som skall gå mot oändligheten, men visst är det en aning enklare att bara säga att skall gå mot oändligheten?!
Hade jag haft funktionen f(x,y)= e^(5y+x^2) , måste jag fortfarande bevisa att funktionen går mot noll när x^2 + y^2 går mot oändligheten?
Måste och måste... Det vore i alla fall smart att kolla om det är så.
För att ta reda på största och minsta värde för en funktion är standard metoden att kolla där derivatan är 0 och i ändpunkterna för definitionsmängden.
Smaragdalena skrev:Måste och måste... Det vore i alla fall smart att kolla om det är så.
För att ta reda på största och minsta värde för en funktion är standard metoden att kolla där derivatan är 0 och i ändpunkterna för definitionsmängden.
Japp, och då fick jag x=-1/2 och y=1
Nu skall jag bestämma karaktären. Men då fattar jag inte detta:
Förstår inte riktig vad som menas med detta? Hur vet man att funktionen endast har global max?
Du vet att om punkten (x,y) är tillräckligt långt från origo, så närmar sig f(x,y) värdet 0.
Eftersom f(x,y) är en exponentialfunktion, är den positiv överallt. Om du väljer en cirkel runt origo så kan du göra radien så stor att alla värden som ligger utanför cirkeln har f(x,y) <1 (eller <5 om du väljer en mindre cirkel). (Det gör inget om vissa värden som ligger innanför skivan också har f(x,y) <1 (eller 5).) Då kan inte f(x,y):s största värde ligga utanför cirkeln. Eftersom cirkelskivan är kompakt (d v s den är sluten och begränsad) så måste det vara i cirkelskivan som f(x,y) har sitt största värde, men det kan inte vara på cirkelranden (eftersom f(x,y) <1 där). Alltså är den enda möjligheten att ha ett maximum i det inre av cirkeln, och alltså måste maximum vara där derivatorna är 0.
Du har kommit fram till att derivatan m a p x endast är 0 om x = -½ och att derivatan m a p y endast är 0 om y = 1. Det innebär att den enda punkt som KAN vara en maximipunkt (eller minimipunkt) för ändliga värden på x och y är punkten (-½,1). Om man stoppar in dessa x- och y-värden i f(x,y) får man fram att f(-½,1) har ett värde som är större än 0.
Smaragdalena skrev:Du vet att om punkten (x,y) är tillräckligt långt från origo, så närmar sig f(x,y) värdet 0.
Eftersom f(x,y) är en exponentialfunktion, är den positiv överallt. Om du väljer en cirkel runt origo så kan du göra radien så stor att alla värden som ligger utanför cirkeln har f(x,y) <1 (eller <5 om du väljer en mindre cirkel). (Det gör inget om vissa värden som ligger innanför skivan också har f(x,y) <1 (eller 5).) Då kan inte f(x,y):s största värde ligga utanför cirkeln. Eftersom cirkelskivan är kompakt (d v s den är sluten och begränsad) så måste det vara i cirkelskivan som f(x,y) har sitt största värde, men det kan inte vara på cirkelranden (eftersom f(x,y) <1 där). Alltså är den enda möjligheten att ha ett maximum i det inre av cirkeln, och alltså måste maximum vara där derivatorna är 0.
Du har kommit fram till att derivatan m a p x endast är 0 om x = -½ och att derivatan m a p y endast är 0 om y = 1. Det innebär att den enda punkt som KAN vara en maximipunkt (eller minimipunkt) för ändliga värden på x och y är punkten (-½,1). Om man stoppar in dessa x- och y-värden i f(x,y) får man fram att f(-½,1) har ett värde som är större än 0.
Tack, har läst din kommentar flera gånger, men jag förstår fortfarande inte varför punkten
är maximi och inte minimi. Kan man säga, eftersom funktionen är avtagande och f är större än 0 måste punkten vara maximi? eller kan man bevisa det genom andra derivatan?