Hitta trianglarna
En kluring på gymnasienivå.
En triangel har hörnen , och och vinklar med samma beteckningar.
Det gäller att
Vidare är triangelns area
a.e.
Dessutom gäller att sidan
l.e.
Bestäm alla trianglar som uppfyller ovanstående samband.
Skriv gärna din lösning inom s.k. spoilers.
Visa spoiler
Triangelns vinkelsumma ger:
Sinussatsen ger därefter:
ur vilket vi får:
Areasatsen ger sedan att arean kan uttryckas som:
Insättning av uttrycken för och från sinussatsen ger:
Då och erhålls:
Då ett uttryck för arean, , är känt får vi:
Det finns en färdig formel för att omvandla en produkt av typen till en summa, men låt oss härleda detta bara för kul skull:
Additions- och subtraktionsformlerna för cosinus ger:
Vi ser att differensen tar ut cosinustermerna:
Delas båda led med två fås:
Om vi utnyttjar detta i vår ekvation erhålls:
Således är
vilket ger oss antingen att eller
Insättes detta i kan vi lösa ut för och :
Den andra varianten, , ger sedan och .
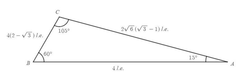
De möjliga trianglarna har alltså vinklarna , och eller , och . Med de tidigare uttrycken framtagna med hjälp av sinussatsen är det sedan ganska enkelt att ta fram längderna på sidorna och :


Observera att trianglarna bara är speglingar av varandra, men med benämningarna och utbytta.
Väldigt snitsigt, AlvinB!
Hade tänkt att man skulle blanda in cosinussatsen,
men det var uppenbarligen inte nödvändigt!
Ett alternativ är att använda Herons formel:
med
Vinkeln bestäms till på samma sätt som i AlvinB:s lösning.
Detta ger:
Utifrån areasatsen kan ett värde för erhållas:
Vidare fås utifrån cosinussatsen att
Genom att sätta erhålls en andragradsekvation i .
Den positiva roten blir
Utifrån detta kan sedan övriga vinklar och återstående sidan () enkelt bestämmas genom sinussatsen: