Parenteser!
Pieter Kuiper skrev:Parenteser!
var?
mueoc skrev:Pieter Kuiper skrev:Parenteser!
var?
Kring halvcirkelns x-koordinat
(Du kanske kan skriva inlägg så att det blir lättare att citera delar?)
Pieter Kuiper skrev:mueoc skrev:Pieter Kuiper skrev:Parenteser!
var?
Kring halvcirkelns x-koordinat
(Du kanske kan skriva inlägg så att det blir lättare att citera delar?)
Men då blir det istället. Det är också fel.
mueoc skrev:Men då blir det istället. Det är också fel.
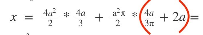
Alla termer i täljaren är en yta (något med a2) multiplicerad med en längd a och ska därför vara proportionella mot a3.
Alla termer i täljaren är en yta (något med a2) multiplicerad med en längd a och ska därför vara proportionella mot a3
jag hänger inte riktigt med
mueoc skrev:Alla termer i täljaren är en yta (något med a2) multiplicerad med en längd a och ska därför vara proportionella mot a3jag hänger inte riktigt med

Pieter Kuiper skrev:mueoc skrev:Alla termer i täljaren är en yta (något med a2) multiplicerad med en längd a och ska därför vara proportionella mot a3jag hänger inte riktigt med
Detta gjorde jag och då fick jag
Markera origo och koordinataxlarna i din figur.
mueoc skrev:Pieter Kuiper skrev:
Detta gjorde jag och då fick jag
Det är inte vad du skrev tidigare.
Pieter Kuiper skrev:mueoc skrev:Pieter Kuiper skrev:
Detta gjorde jag och då fick jag
Det var inte vad du skrev tidigare.
du kan gå tillbaka och kolla på nummer 5. Så kan du se att jag skrev det
mueoc skrev:Pieter Kuiper skrev:mueoc skrev:Detta gjorde jag och då fick jag
Det var inte vad du skrev tidigare.
du kan gå tillbaka och kolla på nummer 5. Så kan du se att jag skrev det
Du skriver lite vad som helst.
D4NIEL skrev:Markera origo och koordinataxlarna i din figur.
är inte x axeln = 0
Pieter Kuiper skrev:mueoc skrev:Pieter Kuiper skrev:mueoc skrev:Detta gjorde jag och då fick jag
Det var inte vad du skrev tidigare.
du kan gå tillbaka och kolla på nummer 5. Så kan du se att jag skrev det
Du skriver lite vad som helst.
Men det är fortfarande fel svar
Jag misstänker att du har en figur som ser ut så här:

Alltså får du en tabell som ser ut så här:

D4NIEL skrev:Jag misstänker att du har en figur som ser ut så här:
Alltså får du en tabell som ser ut så här:
man ma får fel svar
de svaret som man får är och det är fel ska man tillägga 2a också. Det gjorde jag inte med mitt beräkning
mueoc skrev:D4NIEL skrev:Jag misstänker att du har en figur som ser ut så här:
Alltså får du en tabell som ser ut så här:
man ma får fel svar
de svaret som man får är och det är fel ska man tillägga 2a också. Det gjorde jag inte med mitt beräkning
skit vad vad jag skrev. Räknade fel. förlåt
mueoc skrev:mueoc skrev:D4NIEL skrev:Jag misstänker att du har en figur som ser ut så här:
Alltså får du en tabell som ser ut så här:
man ma får fel svar
de svaret som man får är och det är fel ska man tillägga 2a också. Det gjorde jag inte med mitt beräkning
skit vad vad jag skrev. Räknade fel. förlåt
men jag har några frågor och dessa är hur får man triangels x led samma y led och hur fick du -4a/3pi
I x-led får du ekvationen
Tyngdpunkten i en triangel ligger 1/3 från basen
Tyngdpunkten i en halvcirkel med radie ligger från diametern.
D4NIEL skrev:I x-led får du ekvationen
Tyngdpunkten i en triangel ligger 1/3 från basen
Tyngdpunkten i en halvcirkel med radie ligger från diametern.
Jag tror att jag hänger med. tack
