6
svar
106
visningar
väte_organesson118 behöver inte mer hjälp
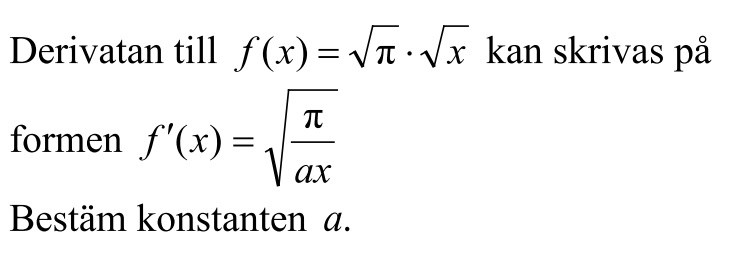
Hitta värdet på a för derivatan (NP HT 2015)
Hej,
Skulle behöva hjälp med följande uppgift:

Och så långt har jag kommit:
Vad gör jag för fel och hur kan jag komma vidare?
Tack på förhand!
Derivatan är inte helt rätt, tänk på att har derivatan , men du har deriverat ett uttryck på formen , vilket inte har derivatan .
Men roten ur skrivs väl om som ^1/2..?
Jo men du har tagit med konstanten
Den ska hamna utanför parentesen, dvs
Ture skrev:Jo men du har tagit med konstanten
Den ska hamna utanför parentesen, dvs
Sen tar man väl ned x så det blir:
Men a = 4 på facit, inte 2...
Men a står under rottecknet!
Ja just det! Så det blir:
a = 22 eftersom a^1/2 = 2, tack!