2
svar
88
visningar
Majskornet behöver inte mer hjälp
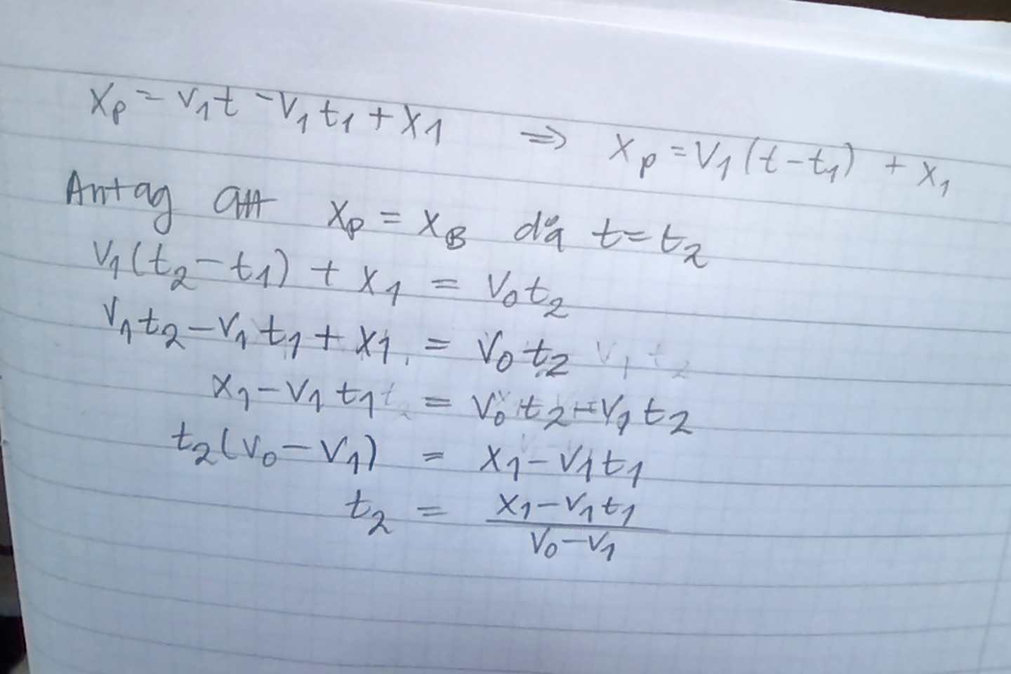
Hittar ej mitt slarvfel
Hej!
Får samma svar som boken men med omvänt tecken och kan inte se var jag gjort fel, stirrat mig blind på mina uträkningar :(


Du har omvänt tecken i både täljare och nämnare, dvs. du har inte omvänt tecken totalt. Ditt uttryck är ekvivalent med bokens.
Ahaaa! För att man kan förkorta med (-1) i både täljaren och nämnaren? Vet du varför boken får en annan ordning?