Derivera en funktion
Jag fick inte ha kvar förra tråden där jag fick hjälp med det här talet.
Jag kan inte. Förstår inte. Behöver facit.
Jag har varit sjukskriven pga en stor och livsviktig operation och nu måste jag läsa in 3/4 av ma3 på 2 veckor utan lärare. Snälla hjälp!
Rubriken justerad. Det står klart och tydligt att man ska undvika rubriker som ”Hjälp!!” vid skapande av en ny tråd. /Teraeagle, moderator
Här vill du använda en deriveringsregel som säger:
Du vill även använda att man får derivera term för term.
Moffen skrev:Här vill du använda en deriveringsregel som säger:
Du vill även använda att man får derivera term för term.
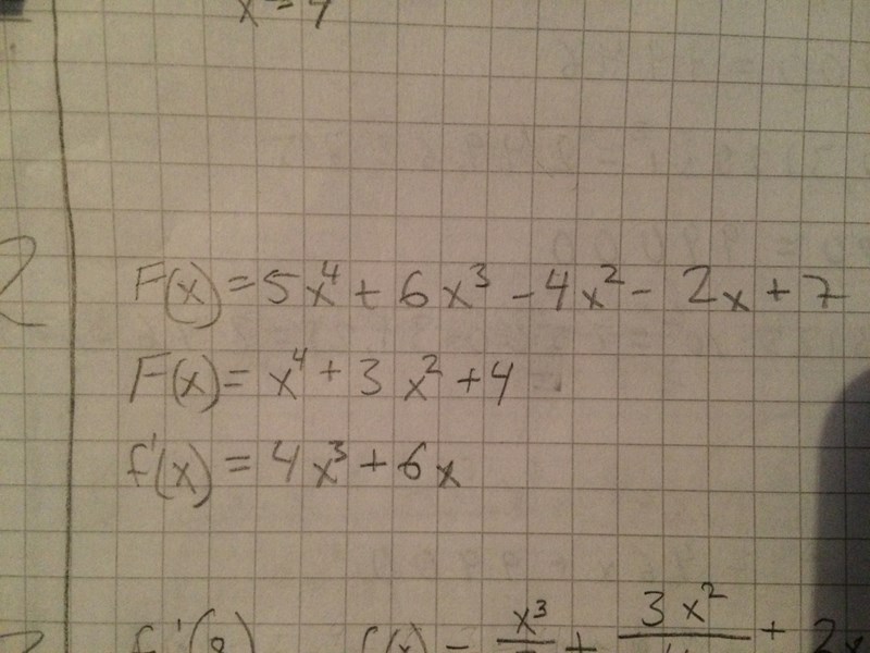
Jag fick hjälp hit(bilden) i förra tråden men jag förstår det ändå inte riktigt.
Vad händer med 5an och 7an.
Och på slutet, blir svaret f’(x)=4x^3+6x?
För vad jag har lärt mig är om f(x)=kx+m är f’(x)=k. Men här har man redan ändrat till f’(x).

mattelinnea skrev:Jag fick inte ha kvar förra tråden där jag fick hjälp med det här talet.
Jag kan inte. Förstår inte. Behöver facit.
Jag har varit sjukskriven pga en stor och livsviktig operation och nu måste jag läsa in 3/4 av ma3 på 2 veckor utan lärare. Snälla hjälp!
Om det bara är facit du behöver så är det att
Hjälper det om jag skriver om uppgiften som:
Moffen skrev:Hjälper det om jag skriver om uppgiften som:
tack så mycket!!!
Men hur fick dom i andra tråden det till f’(x)=4x^3+6x
Och är svaret
f’(x)=20x^3+18x^2-8x-2
Alltså om jag får ett liknande tal på provet får jag rätt då?
för nästan alla tal i boken har ett svar som är kort
mattelinnea skrev:Moffen skrev:Hjälper det om jag skriver om uppgiften som:
tack så mycket!!!
Men hur fick dom i andra tråden det till f’(x)=4x^3+6x
Vilken andra tråd?
Och är svaret
f’(x)=20x^3+18x^2-8x-2
Ja.
Alltså om jag får ett liknande tal på provet får jag rätt då?
för nästan alla tal i boken har ett svar som är kort
Derivatans utseende beror helt och hållet på hur den funktion som ska deriveras ser ut.
Yngve skrev:mattelinnea skrev:Moffen skrev:Hjälper det om jag skriver om uppgiften som:
tack så mycket!!!
Men hur fick dom i andra tråden det till f’(x)=4x^3+6x
Vilken andra tråd?
Och är svaret
f’(x)=20x^3+18x^2-8x-2
Ja.
Alltså om jag får ett l tal på provet får jag rätt då?
för nästan alla tal i boken har ett svar som är kort
Derivatans utseende beror helt och hållet på hur den funktion som ska deriveras ser ut.
Tråden med rubriken ’Facit’. I slutet så börjar jag få hjälp men det är helt annorlunda från svaret jag fick här. Och det är därför det här är så förvirrande.
Men bestämmer jag derivatan med det svaret? För jag trodde att när man bestämde derivatan så bestämde man lutningen på kurvan
Förstår du nu varför man skall göra en tråd för varje fråga? Det blir jätterörigt om olika personer svarar på flera olika frågor samtidigt i samma tråd. /moderator
(Jonis deriverade en annan fjärdegradsfunktion i den tråden, för att hjälpa dig utan att lösa uppgiften åt dig.)