Hjälp att tolka pascals rekursion

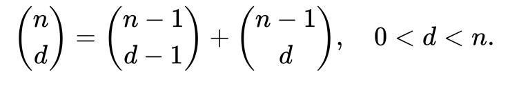
Hej jag försöker tolka vad denna formeln egentligen säger.
Som jag tolkat det hittills:
Antal sätt att välja d element från en mängd med n element är samma sak som:
antal sätt att välja d-1 element från en mängd på n-1 element adderat med:
antal sätt att välja d element från mängden med n-1 element.
Jag förstår dock inte riktigt hur detta kan vara samma sak, går det att förenkla?
Flyttade tråden från Ma5 till ma/Uni /Smaragdalena, moderator
Säg att vi ska beräkna antal sätt att välja två bokstäver ur ABCD. En kombination kommer antingen använda bokstaven D (fall 1), eller så gör den inte det (fall 2).
Fall 1: Kombinationen är D och någon av bokstäverna ABC. Antalet kombinationer blir antal sätt att välja 1 ur ABC.
Fall 2: Utan D så måste kombinationen vara 2 bokstäver ur ABC. Antalet kombinationer blir alltså antal sätt att välja 2 ur ABC.
Beräkna antalet kombinationer för båda fall och summera. Termerna i formeln är alltså Fall 1 respektive Fall 2.
Grym svar tack!