2
svar
109
visningar
familliiar behöver inte mer hjälp
Hjälp med att förenkla ett rationellt uttryck
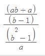
Hej, frågan lyder; "Förenkla följande uttryck ab+a/b-1/b^2-1/a" (Se bild för tydligare illustration)
Jag lyckas få det till a^2(b+1) delat på b^3-b^2-b+1. Enligt facit är svaret a^2 delat på (b-1)^2.
Så nu undrar jag hur man faktoriserar b^3-b^2-b+1 till (b+1)(b-1)^2 på ett smidigt sätt?
Tacksam för svar, mvh.
Jag skulle börja med att faktorisera ab+a och b2-1.
Sedan skulle jag använda att .
Sedan förkorta med gemensamma faktorer.
Ahhh nu hänger jag med! Tack för hjälpen Yngve :D